ในปัญหานี้ เราได้รับรายการเชื่อมโยงที่อาจมีการวนซ้ำ งานของเราคือ ค้นหาความยาวของลูปในรายการที่เชื่อมโยง
คำอธิบายปัญหา: เราจำเป็นต้องนับจำนวนโหนดในลูปหากมีลูปไม่เช่นนั้นให้คืนค่า -1
มาดูตัวอย่างเพื่อทำความเข้าใจปัญหากัน
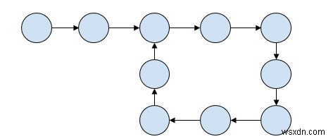
ป้อนข้อมูล: ลิงค์ลิสต์ :

ผลลัพธ์: 8
แนวทางการแก้ปัญหา
ในการแก้ปัญหา ก่อนอื่นเราต้องตรวจสอบว่ารายการที่เชื่อมโยงมีการวนซ้ำหรือไม่ วิธีการตรวจสอบคือการใช้ Floyd's Cycle Finding Algorithm
ใน อัลกอริธึมการค้นหาวัฏจักรของ Floyd เราจะสำรวจรายการที่เชื่อมโยงโดยใช้ตัวชี้สองตัว หนึ่ง lowPointer ที่เพิ่มขึ้น 1 และอีกอันหนึ่งคือ fastPointer ที่จะเพิ่มขึ้น 2 หากตัวเลขทั้งสองมาบรรจบกัน ณ จุดใดจุดหนึ่ง แสดงว่ามีการวนซ้ำไม่เช่นนั้นจะไม่เกิด
หากมีการวนซ้ำ เราต้องนับจำนวนโหนดที่มีอยู่ในวง สำหรับสิ่งนี้เราจะเริ่มจากจุดที่ slowPointer และ fastPointer พบกันแล้วนับจำนวนโหนดที่ข้ามไปยังตำแหน่งกลับ
โปรแกรมเพื่อแสดงการทำงานของโซลูชันของเรา
ตัวอย่าง
#include<bits/stdc++.h>
using namespace std;
struct Node {
int data;
struct Node* next;
};
int countLoopNodespoint(struct Node *n) {
int res = 1;
struct Node *temp = n;
while (temp->next != n) {
res++;
temp = temp->next;
}
return res;
}
int countLoopNode(struct Node *list) {
struct Node *slowPtr = list, *fastPtr = list;
while (slowPtr && fastPtr && fastPtr->next) {
slowPtr = slowPtr->next;
fastPtr = fastPtr->next->next;
if (slowPtr == fastPtr)
return countLoopNodespoint(slowPtr);
}
return 0;
}
struct Node *newNode(int key) {
struct Node *temp = (struct Node*)malloc(sizeof(struct Node));
temp->data = key;
temp->next = NULL;
return temp;
}
int main() {
struct Node *head = newNode(1);
head->next = newNode(2);
head->next->next = newNode(3);
head->next->next->next = newNode(4);
head->next->next->next->next = newNode(5);
head->next->next->next->next->next = newNode(6);
head->next->next->next->next->next->next = newNode(7);
head->next->next->next->next->next->next->next = head->next;
cout<<"The number of nodes in the loop are "<<countLoopNode(head);
return 0;
} ผลลัพธ์
The number of nodes in the loop are 6>]