ที่นี่เราจะดูวิธีการแทรกและลบองค์ประกอบจากโครงสร้างข้อมูลไบนารีฮีป สมมติว่าต้นไม้เริ่มต้นเป็นเหมือนด้านล่าง −

อัลกอริทึมการแทรก
insert(heap, n, item): Begin if heap is full, then exit else n := n + 1 for i := n, i > 1, set i := i / 2 in each iteration, do if item <= heap[i/2], then break heap[i] = heap[i/2] done end if heap[i] := item End
ตัวอย่าง
สมมติว่าเราต้องการแทรก 30 ลงในฮีป -


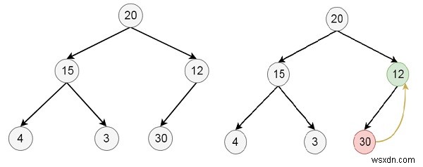
อัลกอริธึมการลบ
delete(heap, n): Begin if heap is empty, then exit else item := heap[1] last := heap[n] n := n – 1 for i := 1, j := 2, j <= n, set i := j and j := j * 2, do if j < n, then if heap[j] < heap[j + 1], then j := j + 1 end if if last >= heap[j], then break heap[i] := heap[j] done end if heap[i] := last End
ตัวอย่าง
สมมติว่าเราต้องการลบ 30 ออกจากฮีปสุดท้าย -
