ความสัมพันธ์เป็นส่วนสำคัญของไดอะแกรมความสัมพันธ์ของเอนทิตี เนื่องจากจะแสดงความสัมพันธ์ระหว่างสองเอนทิตีที่แตกต่างกัน ในความสัมพันธ์แบบ n - ary ค่า n จะแสดงจำนวนเอนทิตีในความสัมพันธ์ มันสามารถเป็นอะไรก็ได้ยกเว้นความสัมพันธ์ที่ได้รับความนิยมมากที่สุดคือ unary, binary และ ternary โดยที่จำนวนของเอนทิตีตามลำดับคือหนึ่ง สอง และสาม
ข้อมูลเพิ่มเติมเกี่ยวกับความสัมพันธ์แบบ Unary, Binary และ Ternary มีดังต่อไปนี้ -
ความสัมพันธ์ที่ไม่ธรรมดา
เมื่อมีความสัมพันธ์ระหว่างสองเอนทิตีที่เป็นประเภทเดียวกัน จะเรียกว่าความสัมพันธ์แบบเอกภาพหรือแบบเรียกซ้ำ ซึ่งหมายความว่าความสัมพันธ์อยู่ระหว่างอินสแตนซ์ที่แตกต่างกันของประเภทเอนทิตีเดียวกัน ตัวอย่างของความสัมพันธ์เอกภาพสามารถแสดงได้ดังนี้ -
ความสัมพันธ์แบบหนึ่งต่อหนึ่ง Unary

บุคคลจะแต่งงานกันทีละคนเท่านั้น.. ดังนั้น นี่เป็นความสัมพันธ์แบบเรียกซ้ำของนิติบุคคลกับตัวมันเอง นี่เป็นความสัมพันธ์แบบเรียกซ้ำแบบหนึ่งต่อหนึ่งเนื่องจากบุคคลหนึ่งแต่งงานกับหนึ่งบุคคล
ความสัมพันธ์แบบหนึ่งต่อหลายเอกภาพ

พนักงานสามารถดูแลพนักงานหลายคนได้ ดังนั้น นี่เป็นความสัมพันธ์แบบเรียกซ้ำของพนักงานในกิจการกับตนเอง นี่เป็นความสัมพันธ์แบบ 1 ต่อหลายๆ ความสัมพันธ์ เนื่องจากพนักงานคนหนึ่งดูแลพนักงานจำนวนมาก
ความสัมพันธ์แบบไบนารี
เมื่อมีความสัมพันธ์ระหว่างสองเอนทิตีที่แตกต่างกัน จะเรียกว่าความสัมพันธ์แบบไบนารี ตัวอย่างของความสัมพันธ์แบบไบนารีสามารถแสดงได้ดังนี้ -
ความสัมพันธ์แบบหนึ่งต่อหนึ่งแบบไบนารี

พนักงานแต่ละคนมีบัตรประจำตัวประชาชนเพียงใบเดียว ดังนั้นนี่คือความสัมพันธ์แบบไบนารีแบบหนึ่งต่อหนึ่งโดยที่พนักงาน 1 คนมีบัตรประจำตัว 1 ใบ
ความสัมพันธ์แบบหลายต่อหนึ่งแบบไบนารี

พนักงานหลายคนทำงานในแผนกเดียว ดังนั้นนี่คือความสัมพันธ์แบบไบนารีต่อหนึ่งที่พนักงานหลายคนทำงานในแผนกเดียว
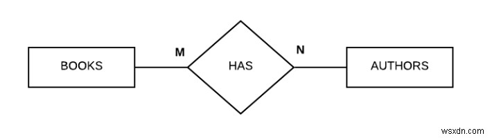
ความสัมพันธ์แบบไบนารีหลายต่อหลายคน

หนังสืออาจมีผู้แต่งหลายคนหรือผู้เขียนหลายคนอาจเขียนหนังสือเล่มเดียว ดังนั้นจึงมีความสัมพันธ์ระหว่างหนังสือและผู้แต่งมากมายเนื่องจากหนังสือหลายเล่มมีผู้แต่งหลายคน
ความสัมพันธ์แบบสามชั้น
เมื่อมีความสัมพันธ์ระหว่างสามเอนทิตีที่แตกต่างกัน จะเรียกว่าความสัมพันธ์แบบไตรภาค ตัวอย่างของความสัมพันธ์แบบไตรภาคสามารถแสดงได้ดังนี้ −

ในตัวอย่างนี้ มีความสัมพันธ์แบบสามส่วนระหว่างแพทย์ ผู้ป่วย และแพทย์