ด้วยอาร์เรย์ของจำนวนธรรมชาติและภารกิจคือการคำนวณค่าเบี่ยงเบนสัมบูรณ์เฉลี่ย และสำหรับสิ่งนั้น เราจะต้องมีความรู้เกี่ยวกับค่าเฉลี่ย ความแปรปรวน และค่าเบี่ยงเบนมาตรฐาน
มีขั้นตอนที่ต้องปฏิบัติตามสำหรับการคำนวณค่าเบี่ยงเบนสัมบูรณ์เฉลี่ย
-
คำนวณค่าเฉลี่ย
-
คำนวณค่าเบี่ยงเบนสัมบูรณ์
-
เพิ่มค่าเบี่ยงเบนที่คำนวณได้ทั้งหมด
-
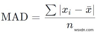
ใช้สูตร

ป้อนข้อมูล
arr[] = { 34,21,56,76,45,11} ผลผลิต
mean absolute deviation is : 18.5
ป้อนข้อมูล
arr[] = {10, 15, 15, 17, 18, 21} ผลผลิต
mean absolute mean absolute deviation is : 2.66
ใช้ในโปรแกรมที่ให้มามีดังนี้
-
ใส่องค์ประกอบของอาร์เรย์
-
คำนวณค่าเฉลี่ยของอาร์เรย์
-
คำนวณค่าเบี่ยงเบนโดยใช้ formulaSum =Sum + abs(arr[i] - Mean(arr, n))
-
คำนวณค่าเบี่ยงเบนสัมบูรณ์เฉลี่ยโดยหารค่าเบี่ยงเบนทั้งหมดด้วยจำนวนองค์ประกอบทั้งหมดในอาร์เรย์
(abs(arr[0] – mean) + abs(arr[1] – mean) + . . + abs(arr[n-1] – mean) / n
อัลกอริทึม
Start
Step 1→ declare function to calculate mean
float mean(float arr[], int size)
declare float sum = 0
Loop For int i = 0 and i < size and i++
Set sum = sum + arr[i]
End
return sum / size
Step 2→ Declare function to calculate deviation
float deviation(float arr[], int size)
declare float sum = 0
Loop For int i = 0 and i < size and i++
Set sum = sum + abs(arr[i] - mean(arr, size))
End
return sum / size
Step 3→ In main()
Declare float arr[] = { 34,21,56,76,45,11}
Declare int size = sizeof(arr) / sizeof(arr[0])
Call deviation(arr, size)
Stop ตัวอย่าง
#include <bits/stdc++.h>
using namespace std;
//calculate mean using mean function
float mean(float arr[], int size){
float sum = 0;
for (int i = 0; i < size; i++)
sum = sum + arr[i];
return sum / size;
}
//calculate mean deviation
float deviation(float arr[], int size){
float sum = 0;
for (int i = 0; i < size; i++)
sum = sum + abs(arr[i] - mean(arr, size));
return sum / size;
}
int main(){
float arr[] = { 34,21,56,76,45,11};
int size = sizeof(arr) / sizeof(arr[0]);
cout<<"mean absolute deviation is : "<<deviation(arr, size);
return 0;
} ผลลัพธ์
หากรันโค้ดด้านบน มันจะสร้างผลลัพธ์ต่อไปนี้ -
mean absolute deviation is : 18.5