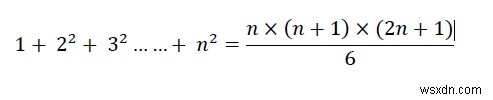
ในปัญหานี้เราจะมาดูกันว่าเราจะหาผลรวมกำลังสองของจำนวนธรรมชาติ n ตัวแรกได้อย่างไร เราใช้ one for loop ที่รันตั้งแต่ 1 ถึง n ในแต่ละขั้นตอน เราจะคำนวณกำลังสองของเทอมนั้นแล้วบวกมันเข้ากับผลรวม โปรแกรมนี้ใช้เวลา O(n) ในการดำเนินการให้เสร็จสิ้น แต่ถ้าเราต้องการแก้ปัญหาใน O(1) หรือเวลาคงที่ เราก็สามารถใช้สูตรอนุกรมนี้ −

อัลกอริทึม
squareNNatural(n)
begin sum := 0 for i in range 1 to n, do sum := sum + i^2 done return sum end
ตัวอย่าง
#include<iostream>
using namespace std;
long square_sum_n_natural(int n) {
long sum = 0;
for (int i = 1; i <= n; i++) {
sum += i * i; //square i and add it with sum
}
return sum;
}
main() {
int n;
cout << "Enter N: ";
cin >> n;
cout << "Result is: " << square_sum_n_natural(n);
} ผลลัพธ์
Enter N: 4 Result is: 30