ต้นไม้นิพจน์
ต้นไม้นิพจน์คือสิ่งที่โหนดปลายสุดมีค่าที่จะดำเนินการ และโหนดภายในประกอบด้วยตัวดำเนินการที่โหนดปลายสุดจะถูกดำเนินการ
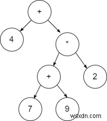
ตัวอย่าง
4 + ((7 + 9) * 2) จะมีต้นไม้นิพจน์ดังนี้

อัลกอริทึมในการสร้างแผนผังนิพจน์
ให้ T เป็นต้นไม้นิพจน์
If T is not NULL:
If T->data is an operand:
return T.data
A = solve(T.left)
B = solve(T.right)
--> Calculate operator for 'T.data' on A and B, and call recursively,
return calculate(A, B, T.data)
จะสร้างนิพจน์ทรีได้อย่างไร
ในการสร้าง Expression Tree สำหรับนิพจน์ที่กำหนด โดยทั่วไปเราใช้ Stack Data Structure
เริ่มแรก เราวนซ้ำนิพจน์ postfix ที่กำหนด และทำตามขั้นตอนที่ระบุด้านล่าง -
- หากเราได้ตัวถูกดำเนินการในนิพจน์ที่กำหนด ให้พุชมันในสแต็ก มันจะกลายเป็นรากของนิพจน์ Tree.
- หากโอเปอเรเตอร์ได้รับค่าสองค่าในนิพจน์ ให้เพิ่มในแผนผังนิพจน์เป็นรายการย่อย และพุชลงในโหนดปัจจุบัน
- ทำซ้ำขั้นตอนที่ 1 และขั้นตอนที่ 2 จนกว่าเราจะดำเนินการตามนิพจน์ที่กำหนด
- ตอนนี้ ให้ตรวจสอบว่าทุกโหนดรูทไม่มีอะไรเลยนอกจากตัวถูกดำเนินการ และโหนดย่อยทุกโหนดมีค่าเท่านั้น