รูปสี่เหลี่ยมขนมเปียกปูนคืออะไร
ในเรขาคณิต รูปสี่เหลี่ยมขนมเปียกปูนคือรูปสี่เหลี่ยมที่มีด้านทั้งสี่ด้านยาวเท่ากัน รูปสี่เหลี่ยมขนมเปียกปูนมีลักษณะคล้ายเพชร ถ้าเส้นทแยงมุมของรูปสี่เหลี่ยมขนมเปียกปูนมาบรรจบกันที่มุมฉากมากกว่าจะกลายเป็นสี่เหลี่ยมจัตุรัส
คุณสมบัติของขนมเปียกปูนคือ −
- ด้านเท่ากัน
- ด้านตรงข้ามขนานกันและมุมตรงข้ามเท่ากัน ทำให้เป็นสี่เหลี่ยมด้านขนาน
- เส้นทแยงมุมแบ่งครึ่งเป็นมุมฉาก
ด้านล่างเป็นรูปสี่เหลี่ยมขนมเปียกปูน

ปัญหา
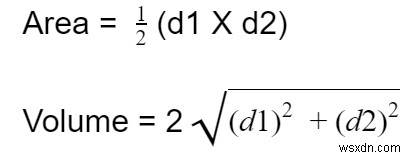
ด้วยเส้นทแยงมุม สมมติว่า d1 และ d2 ภารกิจคือการหาพื้นที่และปริมณฑลของรูปสี่เหลี่ยมขนมเปียกปูนโดยที่พื้นที่คือพื้นที่ที่รูปร่างครอบครอง และปริมณฑลคือพื้นที่ที่จะครอบคลุมขอบเขต
ในการคำนวณพื้นที่และปริมณฑลของทรงลูกบาศก์มีสูตร -

ตัวอย่าง
Input-: d1=6 and d2=12 Output-: The perimeter of rhombus with given diagonals are :26 The area of rhombus with given diagonals are :36
อัลกอริทึม
Start Step 1 -> declare function to calculate perimeter of rhombus int perimeter(int d1, int d2) Declare variable long long int perimeter Set perimeter = 2 * sqrt(pow(d1, 2) + pow(d2, 2)) Print perimeter Step 2 -> Declare function to calculate area of rhombus int area(int d1, int d2) Declare long long int area Set area = (d1 * d2) / 2 Print area Step 3 -> In main() Declare variable int d1 = 6, d2 = 12 Call perimeter(d1, d2) Call area(d1, d2) Stop
ตัวอย่าง
#include <iostream>
#include <math.h>
using namespace std;
// program to calculate perimeter of rhombus
int perimeter(int d1, int d2){
long long int perimeter;
perimeter = 2 * sqrt(pow(d1, 2) + pow(d2, 2));
cout<< "The perimeter of rhombus with given diagonals are :"<<perimeter;
}
//program to calculate area of rhombus
int area(int d1, int d2){
long long int area;
area = (d1 * d2) / 2;
cout<<"\nThe area of rhombus with given diagonals are :"<< area;
}
int main(){
int d1 = 6, d2 = 12;
perimeter(d1, d2);
area(d1, d2);
return 0;
} ผลลัพธ์
The perimeter of rhombus with given diagonals are :26 The area of rhombus with given diagonals are :36