รายการที่เชื่อมโยงเป็นโครงสร้างข้อมูลเชิงเส้นซึ่งแต่ละโหนดมีสองบล็อก โดยที่หนึ่งบล็อกมีค่าหรือข้อมูลของโหนด และอีกบล็อกหนึ่งมีที่อยู่ของฟิลด์ถัดไป
สมมติว่าเรามีรายการที่เชื่อมโยง โดยที่แต่ละโหนดมีตัวชี้สุ่มซึ่งชี้ไปยังโหนดอื่นในรายการ ภารกิจคือการค้นหาโหนดที่รายการที่เชื่อมโยงสองรายการตัดกัน หากไม่ตัดกัน ให้คืนค่า NULL หรือค่าว่างเป็นเอาต์พุต
ตัวอย่าง
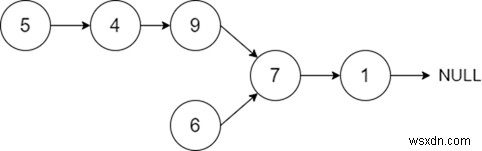
อินพุต-1:
ผลลัพธ์:
2
คำอธิบาย: เนื่องจากรายการเชื่อมโยงที่กำหนดตัดกันที่โหนดด้วยค่า '2' เราจะคืนค่า '2' เป็นผลลัพธ์
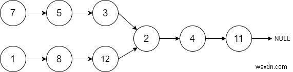
อินพุต-2:
ผลลัพธ์:
NULL
คำอธิบาย: เนื่องจากไม่มีจุดร่วม เราจะคืนค่า NULL ในกรณีนี้
แนวทางในการแก้ปัญหานี้
เรามีรายการที่เชื่อมโยงสองรายการที่มีจุดร่วมที่พวกมันตัดกัน ในการหาจุดตัด เราจะสำรวจทั้งสองรายการที่เชื่อมโยงจนพบว่าชี้ไปที่ค่าเดียวกันเท่ากัน ในบางจุด ตัวชี้ไปยังโหนดถัดไปของรายการที่เชื่อมโยงจะเหมือนเดิม ดังนั้นเราจะคืนค่าของจุดนั้น
- นำรายการที่เชื่อมโยงสองรายการพร้อมข้อมูลและตัวชี้ไปยังโหนดถัดไป
- ฟังก์ชัน commonPoint(listnode*headA, listnode*headB) รับตัวชี้สองตัวของรายการที่เชื่อมโยงตามลำดับและส่งกลับค่าของจุดร่วมหรือจุดตัดของรายการที่เชื่อมโยง
- ฟังก์ชันจำนวนเต็มที่ค้นหาความยาวของรายการที่เชื่อมโยงจะคืนค่าความยาวของรายการที่เชื่อมโยงทั้งสองจากส่วนหัวของรายการ
- ตอนนี้สร้างตัวชี้ไปที่ส่วนหัวของทั้งสองรายการและสำรวจรายการซึ่งมีความยาวมากกว่าจนถึง (ความยาวของรายการแรก – ความยาวของรายการที่สอง)
- ตอนนี้สำรวจรายการจนกว่าเราจะพบว่าตัวชี้ถัดไปเท่ากัน
- คืนค่าของโหนดเฉพาะที่รายการทั้งสองตัดกัน
ตัวอย่าง
public class Solution {
static listnode headA,
headB;
static class listnode {
int data;
listnode next;
listnode(int d) {
data = d;
next = null;
}
}
int count(listnode head) {
int c = 0;
while (head != null) {
c++;
head = head.next;
}
return c;
}
int commonPoint(listnode headA, listnode headB) {
listnode p1 = headA;
listnode p2 = headB;
int c1 = count(headA);
int c2 = count(headB);
if (c1 > c2) {
for (int i = 0; i < c1 - c2; i++) {
if (p1 == null) {
return - 1;
}
p1 = p1.next;
}
}
if (c1 < c2) {
for (int i = 0; i < c2 - c1; i++) {
if (p2 == null) {
return - 1;
}
p2 = p2.next;
}
}
while (p1 != null && p2 != null) {
if (p1.data == p2.data) {
return p1.data;
}
p1 = p1.next;
p2 = p2.next;
}
return - 1;
}
public static void main(String[] args) {
Solution list = new Solution();
list.headA = new listnode(5);
list.headA.next = new listnode(4);
list.headA.next.next = new listnode(9);
list.headA.next.next.next = new listnode(7);
list.headA.next.next.next.next = new listnode(1);
list.headB = new listnode(6);
list.headB.next = new listnode(7);
list.headB.next.next = new listnode(1);
System.out.println(list.commonPoint(headA, headB));
}
} การเรียกใช้โค้ดด้านบนจะสร้างผลลัพธ์เป็น
ผลลัพธ์
7
คำอธิบาย :รายการเชื่อมโยงที่กำหนดจะตัดกันที่ 7
