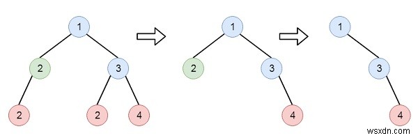
สมมติว่าเรามีไบนารีทรีและเป้าหมายจำนวนเต็ม เราต้องลบโหนดปลายสุดทั้งหมดที่มีค่าเป้าหมาย เราต้องจำไว้ว่าเมื่อเราลบโหนดปลายสุดที่มีค่าเป้าหมายหากโหนดหลักกลายเป็นโหนดปลายสุดและมีค่าเป้าหมายก็ควรถูกลบด้วย (เราจำเป็นต้องทำต่อไปจนกว่าเราจะทำไม่ได้) ดังนั้นหากต้นไม้อยู่ด้านล่าง และเป้าหมายคือ 2 ต้นไม้สุดท้ายก็จะเหมือนกับต้นสุดท้าย -

เพื่อแก้ปัญหานี้ เราจะทำตามขั้นตอนเหล่านี้ -
-
กำหนดวิธีการเรียกซ้ำที่เรียกว่า remLeaf() ซึ่งจะทำการรูทและเป้าหมาย
-
ถ้ารูทเป็นโมฆะ ให้คืนค่า null
-
left :=remLeaf(ซ้ายของรูท, เป้าหมาย)
-
right :=remLeaf(ทางขวาของรูท, เป้าหมาย)
-
หากด้านซ้ายเป็นค่าว่างและด้านขวาเป็นค่าว่างและค่าของรูทเหมือนกับเป้าหมาย ให้คืนค่าเป็นค่าว่าง
-
ทางซ้ายของรูท :=left
-
ทางขวาของรูท :=ขวา
-
คืนค่ารูท
ตัวอย่าง (C++)
ให้เราดูการใช้งานต่อไปนี้เพื่อความเข้าใจที่ดีขึ้น -
#include <bits/stdc++.h>
using namespace std;
class TreeNode{
public:
int val;
TreeNode *left, *right;
TreeNode(int data){
val = data;
left = right = NULL;
}
};
void insert(TreeNode **root, int val){
queue<TreeNode*> q;
q.push(*root);
while(q.size()){
TreeNode *temp = q.front();
q.pop();
if(!temp->left){
if(val != NULL)
temp->left = new TreeNode(val);
else
temp->left = new TreeNode(0);
return;
} else {
q.push(temp->left);
}
if(!temp->right){
if(val != NULL)
temp->right = new TreeNode(val);
else
temp->right = new TreeNode(0);
return;
} else {
q.push(temp->right);
}
}
}
TreeNode *make_tree(vector<int> v){
TreeNode *root = new TreeNode(v[0]);
for(int i = 1; i<v.size(); i++){
insert(&root, v[i]);
}
return root;
}
void tree_level_trav(TreeNode*root){
if (root == NULL) return;
cout << "[";
queue<TreeNode *> q;
TreeNode *curr;
q.push(root);
q.push(NULL);
while (q.size() > 1) {
curr = q.front();
q.pop();
if (curr == NULL){
q.push(NULL);
} else {
if(curr->left)
q.push(curr->left);
if(curr->right)
q.push(curr->right);
if(curr->val == 0 || curr == NULL){
cout << "null" << ", ";
} else {
cout << curr->val << ", ";
}
}
}
cout << "]"<<endl;
}
class Solution {
public:
TreeNode* removeLeafNodes(TreeNode* root, int target) {
if(!root || root->val == 0) return NULL;
TreeNode* left = removeLeafNodes(root->left, target);
TreeNode* right = removeLeafNodes(root->right, target);
if(!left && !right && root->val == target){
return NULL;
}
root->left = left;
root->right = right;
return root;
}
};
main() {
vector<int> v1 = {1,2,3,2,NULL,2,4};
TreeNode *root = make_tree(v1);
Solution ob;
tree_level_trav(ob.removeLeafNodes(root, 2));
} อินพุต
[1,2,3,2,null,2,4] 2
ผลลัพธ์
[1, 3, 4, ]