ในปัญหานี้ จะแสดงกราฟแบบไม่บอกทิศทาง นอกจากนี้ยังมีให้ m สี ปัญหาคือการค้นหาว่าสามารถกำหนดโหนดด้วย m สีต่างๆ ได้หรือไม่ เพื่อไม่ให้จุดยอดสองจุดที่อยู่ติดกันของกราฟมีสีเดียวกัน หากมีวิธีแก้ปัญหา ให้แสดงสีที่กำหนดบนจุดยอด
เริ่มจากจุดยอด 0 เราจะพยายามกำหนดสีทีละโหนดให้กับโหนดต่างๆ แต่ก่อนจะมอบหมายต้องเช็คก่อนว่าสีจะปลอดภัยหรือไม่ สีไม่ปลอดภัยไม่ว่าจุดยอดที่อยู่ติดกันจะมีสีเดียวกันหรือไม่
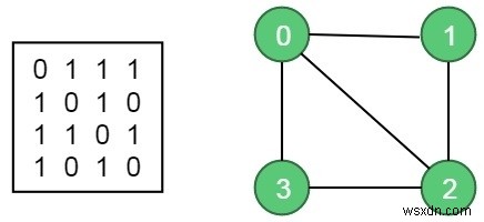
อินพุตและเอาต์พุต
Input: The adjacency matrix of a graph G(V, E) and an integer m, which indicates the maximum number of colors that can be used.Let the maximum color m = 3. Output: This algorithm will return which node will be assigned with which color. If the solution is not possible, it will return false. For this input the assigned colors are: Node 0 -> color 1 Node 1 -> color 2 Node 2 -> color 3 Node 3 -> color 2
อัลกอริทึม
isValid(จุดยอด, colorList, col)
อินพุต - จุดยอด, colorList ที่จะตรวจสอบ และสีที่พยายามกำหนด
ผลลัพธ์ − จริง หากการกำหนดสีนั้นถูกต้อง มิฉะนั้น จะเป็นเท็จ
Begin for all vertices v of the graph, do if there is an edge between v and i, and col = colorList[i], then return false done return true End
graphColoring(สี รายการสี จุดยอด)
อินพุต - สีที่เป็นไปได้มากที่สุด รายการสำหรับจุดยอดที่มีสีใด และจุดยอดเริ่มต้น
ผลลัพธ์ − จริง เมื่อกำหนดสี มิฉะนั้น จะเป็นเท็จ
Begin if all vertices are checked, then return true for all colors col from available colors, do if isValid(vertex, color, col), then add col to the colorList for vertex if graphColoring(colors, colorList, vertex+1) = true, then return true remove color for vertex done return false End
ตัวอย่าง
#include<iostream>
#define V 4
using namespace std;
bool graph[V][V] = {
{0, 1, 1, 1},
{1, 0, 1, 0},
{1, 1, 0, 1},
{1, 0, 1, 0},
};
void showColors(int color[]) {
cout << "Assigned Colors are: " <<endl;
for (int i = 0; i < V; i++)
cout << color[i] << " ";
cout << endl;
}
bool isValid(int v,int color[], int c) { //check whether putting a color valid for v
for (int i = 0; i < V; i++)
if (graph[v][i] && c == color[i])
return false;
return true;
}
bool graphColoring(int colors, int color[], int vertex) {
if (vertex == V) //when all vertices are considered
return true;
for (int col = 1; col <= colors; col++) {
if (isValid(vertex,color, col)) { //check whether color col is valid or not
color[vertex] = col;
if (graphColoring (colors, color, vertex+1) == true) //go for additional vertices
return true;
color[vertex] = 0;
}
}
return false; //when no colors can be assigned
}
bool checkSolution(int m) {
int *color = new int[V]; //make color matrix for each vertex
for (int i = 0; i < V; i++)
color[i] = 0; //initially set to 0
if (graphColoring(m, color, 0) == false) { //for vertex 0 check graph coloring
cout << "Solution does not exist.";
return false;
}
showColors(color);
return true;
}
int main() {
int colors = 3; // Number of colors
checkSolution (colors);
} ผลลัพธ์
Assigned Colors are: 1 2 3 2
Let the maximum color m = 3.
Output:
This algorithm will return which node will be assigned with which color. If the solution is not possible, it will return false.
For this input the assigned colors are:
Node 0 -> color 1
Node 1 -> color 2
Node 2 -> color 3
Node 3 -> color 2
