ในส่วนนี้ เราจะเห็นเทคนิคการข้ามผ่านหลังการสั่งซื้อ (แบบเรียกซ้ำ) สำหรับแผนผังการค้นหาแบบไบนารี
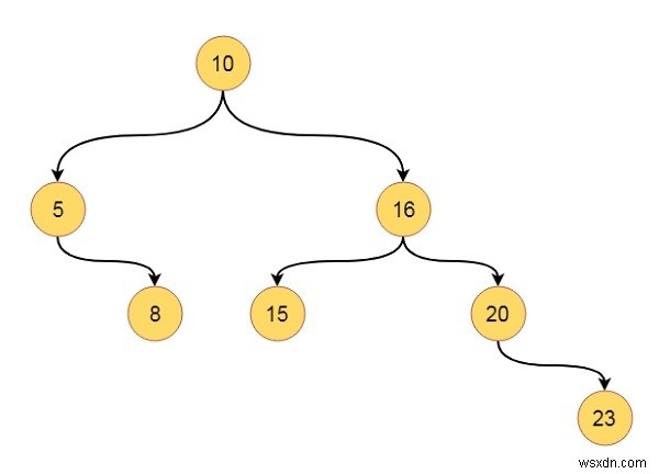
สมมติว่าเรามีต้นไม้ต้นหนึ่งแบบนี้ -

ลำดับการข้ามผ่านจะเป็นดังนี้:8, 5, 15, 23, 20, 16, 10
อัลกอริทึม
postorderTraverse(root): Begin if root is not empty, then postorderTraversal(left of root) postorderTraversal(right of root) print the value of root end if End
ตัวอย่าง
#include<iostream>
using namespace std;
class node{
public:
int h_left, h_right, bf, value;
node *left, *right;
};
class tree{
private:
node *get_node(int key);
public:
node *root;
tree(){
root = NULL; //set root as NULL at the beginning
}
void postorder_traversal(node *r);
node *insert_node(node *root, int key);
};
node *tree::get_node(int key){
node *new_node;
new_node = new node; //create a new node dynamically
new_node->h_left = 0; new_node->h_right = 0;
new_node->bf = 0;
new_node->value = key; //store the value from given key
new_node->left = NULL; new_node->right = NULL;
return new_node;
}
void tree::postorder_traversal(node *r){
if(r != NULL){ //When root is present, visit left - root - right
postorder_traversal(r->left);
postorder_traversal(r->right);
cout << r->value << " ";
}
}
node *tree::insert_node(node *root, int key){
if(root == NULL){
return (get_node(key)); //when tree is empty, create a node as root
}
if(key < root->value){ //when key is smaller than root value, go to the left
root->left = insert_node(root->left, key);
}else if(key > root->value){ //when key is greater than root value, go to the right
root->right = insert_node(root->right, key);
}
return root; //when key is already present, do not insert it again
}
main(){
node *root;
tree my_tree;
//Insert some keys into the tree.
my_tree.root = my_tree.insert_node(my_tree.root, 10);
my_tree.root = my_tree.insert_node(my_tree.root, 5);
my_tree.root = my_tree.insert_node(my_tree.root, 16);
my_tree.root = my_tree.insert_node(my_tree.root, 20);
my_tree.root = my_tree.insert_node(my_tree.root, 15);
my_tree.root = my_tree.insert_node(my_tree.root, 8);
my_tree.root = my_tree.insert_node(my_tree.root, 23);
cout << "Post-Order Traversal: ";
my_tree.postorder_traversal(my_tree.root);
} ผลลัพธ์
Post-Order Traversal: 8 5 15 23 20 16 10