สมมติว่ามีเมืองที่แตกต่างกัน n เมืองที่มีหมายเลขตั้งแต่ 0 ถึง n-1 และยังมีถนน n-1 ซึ่งมีเพียงวิธีเดียวเท่านั้นที่จะเดินทางระหว่างสองเมืองที่ต่างกัน สมมุติว่ากระทรวงคมนาคมตัดสินใจปรับทิศทางถนนในทิศทางเดียวเพราะแคบเกินไป
ในที่นี้ ถนนต่างๆ จะถูกแสดงโดยการเชื่อมต่อโดยที่จุดเชื่อมต่อ[i] =[a, b] หมายถึงถนนจากเมือง a ไปยัง b
หากมีงานใหญ่ในเมืองหลวง (เมืองเลข 0) และหลายคนอยากไปเที่ยวเมืองนี้ เราต้องดำเนินการปรับทิศทางใหม่บนถนนบางสายเพื่อให้แต่ละเมืองสามารถเยี่ยมชมเมือง 0 ได้ เราต้องหาจำนวนขอบขั้นต่ำที่เปลี่ยนไป
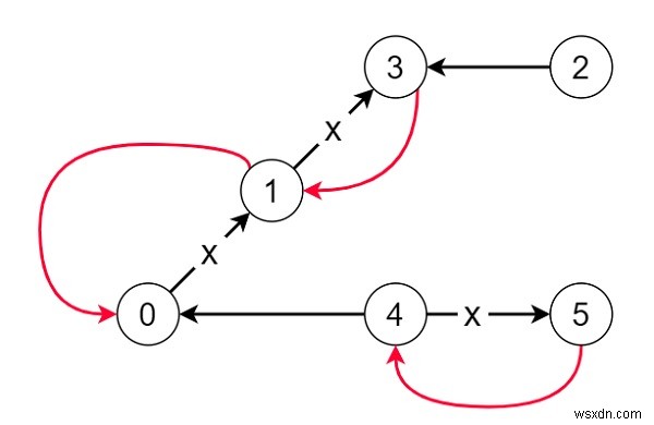
ดังนั้น หากอินพุตเป็น 6 การเชื่อมต่อ =[[0,1],[1,3],[2,3],[4,0],[4,5]],

จากนั้นเอาต์พุตจะเป็น 3 เนื่องจากเราต้องเปลี่ยนทิศทางของขอบที่แสดงเป็นสีแดงเพื่อให้แต่ละโหนดสามารถไปถึงเมืองหลวงได้
เพื่อแก้ปัญหานี้ เราจะทำตามขั้นตอนเหล่านี้ -
-
กำหนดสองอาร์เรย์ของรายการ graph1, graph2 ขนาด N =5*10^4 + 5
-
จากวิธีหลัก ให้ทำดังต่อไปนี้ −
-
กำหนดหนึ่งแผนที่ใน
-
สำหรับแต่ละองค์ประกอบใน e ทำ
-
ใส่มัน[1] ที่ส่วนท้ายของกราฟ1[it[0]]
-
ใส่มัน[0] ที่ส่วนท้ายของกราฟ2[it[1]]
-
-
กำหนดอาร์เรย์ dist ขนาด n และเติมด้วย N + 10
-
ret :=0, ใน[0] :=0, dist[0] :=0
-
กำหนดหนึ่งคิว q
-
ใส่ 0 ลงใน q
-
กำหนดการเยี่ยมชมหนึ่งชุด
-
ใส่ 0 เข้าไป
-
ในขณะที่ (ไม่ใช่ q ว่างเปล่า) ทำ -
-
โหนด :=องค์ประกอบแรกของ q
-
ลบองค์ประกอบออกจาก q
-
ret :=ret + dist[โหนด]
-
สำหรับแต่ละองค์ประกอบใน graph2[node] ทำ
-
ถ้าไม่ได้เยี่ยมชมและ dist[it]> 0 แล้ว −
-
dist[it] :=0
-
แทรกลงใน q
-
ใส่เข้าไป
-
-
-
สำหรับแต่ละองค์ประกอบใน graph1[node] ทำ
-
ถ้าไม่ได้เยี่ยมชมและ dist[it]> 1 แล้ว −
-
dist[it] :=1
-
แทรกลงใน q
-
ใส่เข้าไป
-
-
-
-
รีเทิร์น
ตัวอย่าง
ให้เราดูการใช้งานต่อไปนี้เพื่อความเข้าใจที่ดีขึ้น -
#includeใช้เนมสเปซ std;const int N =5e4 + 5;คลาสโซลูชัน {สาธารณะ:vector graph1[N]; เวกเตอร์ กราฟ2[N]; int minReorder(int n, vector >&e){ map ใน; สำหรับ (อัตโนมัติ&มัน:จ) { graph1[it[0]].push_back(it[1]); graph2[it[1]].push_back(it[0]); } vector dist(n, N + 10); int ret =0; ใน[0] =0; dist[0] =0; คิว q; q.push(0); set เยี่ยมชม; เยี่ยมชม.insert(0); ในขณะที่ (!q.empty()) { โหนด int =q.front(); q.ป๊อป(); ret +=dist[โหนด]; สำหรับ (อัตโนมัติ&มัน:graph2[โหนด]) { if (!visited.count(it) &&dist[it]> 0) { dist[it] =0; q.push(มัน); visit.insert(มัน); } } for (auto&it:graph1[node]) { if (!visited.count(it) &&dist[it]> 1) { dist[it] =1; q.push(มัน); visit.insert(มัน); } } } ส่งคืน ret; }};main(){ โซลูชัน ob; เวกเตอร์<เวกเตอร์ > v ={{0,1},{1,3},{2,3},{4,0},{4,5}}; cout <<(ob.minReorder(6,v));}
อินพุต
<ก่อน>6,{{0,1},{1,3},{2,3},{4,0},{4,5}}ผลลัพธ์
3