สมมติว่าเรามีรูทแบบไบนารี เราต้องนับจำนวนโหนดที่มีค่ามากกว่าหรือเท่ากับค่าของลูกหลานทั้งหมด
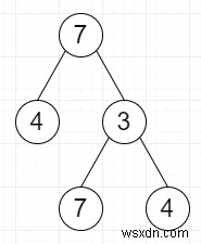
ดังนั้นหากอินพุตเป็นแบบ

จากนั้นผลลัพธ์จะเป็น 4 เนื่องจากโหนดทั้งหมดยกเว้น 3 เป็นไปตามเกณฑ์
เพื่อแก้ปัญหานี้ เราจะทำตามขั้นตอนเหล่านี้ -
-
กำหนดฟังก์ชัน dfs() ซึ่งจะใช้โหนด
-
ถ้าโหนดไม่เป็นโมฆะ −
-
คืนค่า 0
-
-
l :=dfs(ซ้ายของโหนด)
-
r :=dfs(ทางขวาของโหนด)
-
ถ้า val ของโหนด>=สูงสุดของ l และ r แล้ว −
-
(เพิ่มการถอยกลับโดย 1)
-
-
x :=val สูงสุดของโหนด l และ r
-
ผลตอบแทน x
-
จากวิธีหลัก ให้ทำดังนี้
-
ยกเลิก :=0
-
dfs(root)
-
รีเทิร์น
ให้เราดูการใช้งานต่อไปนี้เพื่อความเข้าใจที่ดีขึ้น -
ตัวอย่าง
#include <bits/stdc++.h>
using namespace std;
class TreeNode {
public:
int val;
TreeNode *left, *right;
TreeNode(int data) {
val = data;
left = NULL;
right = NULL;
}
};
class Solution {
public:
int ret;
int dfs(TreeNode* node){
if(!node)
return 0;
int l = dfs(node->left);
int r = dfs(node->right);
if(node->val >= max(l, r)) {
ret++;
}
int x = max({node->val, l, r});
return x;
}
int solve(TreeNode* root) {
ret = 0;
dfs(root);
return ret;
}
};
main(){
Solution ob;
TreeNode *root = new TreeNode(7);
root->left = new TreeNode(4);
root->right = new TreeNode(3);
root->right->left = new TreeNode(7);
root->right->right = new TreeNode(5);
cout << (ob.solve(root));
} อินพุต
TreeNode *root = new TreeNode(7); root->left = new TreeNode(4); root->right = new TreeNode(3); root->right->left = new TreeNode(7); root->right->right = new TreeNode(5);
ผลลัพธ์
4