สมมติว่ามีเซิร์ฟเวอร์ n เซิร์ฟเวอร์ และสิ่งเหล่านี้มีหมายเลขตั้งแต่ 0 ถึง n-1 ที่เชื่อมต่อโดยการเชื่อมต่อระหว่างเซิร์ฟเวอร์กับเซิร์ฟเวอร์แบบไม่มีทิศทางซึ่งสร้างเครือข่ายโดยที่การเชื่อมต่อ[i] =[a,b] แสดงถึงการเชื่อมต่อระหว่างเซิร์ฟเวอร์ a และ b เซิร์ฟเวอร์ทั้งหมดเชื่อมต่อโดยตรงหรือผ่านเซิร์ฟเวอร์อื่น ตอนนี้ การเชื่อมต่อที่สำคัญคือการเชื่อมต่อที่หากลบออก จะทำให้เซิร์ฟเวอร์บางเครื่องไม่สามารถเข้าถึงเซิร์ฟเวอร์อื่นได้ เราต้องหาการเชื่อมต่อที่สำคัญทั้งหมด
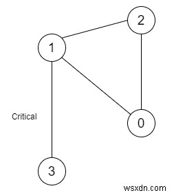
ดังนั้น หากอินพุตเป็น n =4 และการเชื่อมต่อ =[[0,1],[1,2],[2,0],[1,3]],

จากนั้นผลลัพธ์จะเป็น [[1,3]]
เพื่อแก้ปัญหานี้ เราจะทำตามขั้นตอนเหล่านี้ -
-
กำหนดหนึ่งชุด
-
กำหนดดิสก์อาร์เรย์
-
กำหนดอาร์เรย์ต่ำ
-
กำหนดอาร์เรย์ 2D ret หนึ่งรายการ
-
กำหนดฟังก์ชัน dfs() ซึ่งจะใช้โหนด พาร์ หนึ่งกราฟอาร์เรย์ 2 มิติ
-
ถ้าโหนดอยู่ในการเยี่ยมชมแล้ว −
-
กลับ
-
-
แทรกโหนดเข้าเยี่ยมชม
-
ดิสก์[โหนด] :=เวลา
-
ต่ำ[โหนด] :=เวลา
-
(เพิ่มเวลาขึ้นอีก 1)
-
สำหรับทุกองค์ประกอบ x ในกราฟ[โหนด]
-
ถ้า x เท่ากับพาร์ แล้ว −
-
ละเว้นส่วนต่อไปนี้ ข้ามไปยังการทำซ้ำถัดไป
-
-
ถ้า x ไม่อยู่ในการเยี่ยมชม −
-
dfs(x, โหนด, กราฟ)
-
low[node] :=ต่ำสุดของ low[node] และ low[x]
-
ถ้าดิสก์[โหนด] <ต่ำ[x] แล้ว −
-
แทรก { node, x } ที่ส่วนท้ายของ ret
-
-
-
มิฉะนั้น
-
low[node] :=ต่ำสุดของ low[node] และ disc[x]
-
-
-
จากวิธีหลัก ให้ทำดังนี้ −
-
กำหนดขนาดของแผ่นดิสก์เป็น n + 1
-
กำหนดขนาดต่ำเป็น n + 1
-
เวลา :=0
-
กำหนดอาร์เรย์ของรายการของกราฟขนาด n + 1
-
สำหรับการเริ่มต้น i :=0 เมื่อ i <ขนาด v อัปเดต (เพิ่ม i ขึ้น 1) ทำ -
-
u :=v[i, 0]
-
w :=v[i, 1]
-
แทรก w ที่ส่วนท้ายของกราฟ[u]
-
ใส่ u ที่ท้ายกราฟ[w]
-
-
dfs(0, -1, กราฟ)
-
รีเทิร์น
-
ให้เราดูการใช้งานต่อไปนี้เพื่อความเข้าใจที่ดีขึ้น -
ตัวอย่าง
#includeใช้เนมสเปซ std;void print_vector(vector > v){ cout <<"["; for(int i =0; i เยี่ยมชม; เวกเตอร์ ดิสก์; เวกเตอร์ ต่ำ; ทันเวลา; vector > ย้อนกลับ; โมฆะ dfs (โหนด int, int par, vector กราฟ []) { if (visited.count (node)) ส่งคืน; visit.insert(โหนด); ดิสก์[โหนด] =ต่ำ[โหนด] =เวลา; เวลา++; สำหรับ (int x:กราฟ [โหนด]) { ถ้า (x ==พาร์) ดำเนินการต่อ; if (!visited.count(x)) { dfs(x, node, graph); ต่ำ[โหนด] =นาที(ต่ำ[โหนด], ต่ำ[x]); ถ้า (ดิสก์ [โหนด] <ต่ำ [x]) { ret.push_back ({ โหนด x }); } } อื่น ๆ { ต่ำ [โหนด] =นาที (ต่ำ [โหนด], ดิสก์ [x]); } } } vector > criticalConnections(int n, vector >&v) { disc.resize(n + 1); low.resize(n + 1); เวลา =0; เวกเตอร์ กราฟ[n + 1]; สำหรับ (int i =0; i > v ={{0,1},{1,2},{2,0},{1,3}}; print_vector(ob.criticalConnections(4,v));}
อินพุต
<ก่อน>4, {{0,1},{1,2},{2,0},{1,3}}ผลลัพธ์
[[1, 3, ],]