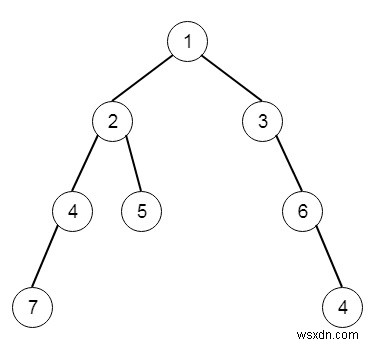
สมมติว่าเรามีต้นไม้ไบนารี เราต้องหาผลรวมของค่าของใบไม้ที่ลึกที่สุดของมัน ดังนั้นถ้าต้นไม้เป็นเหมือน −

จากนั้นผลลัพธ์จะเป็น 15
เพื่อแก้ปัญหานี้ เราจะทำตามขั้นตอนเหล่านี้ -
- กำหนดแผนที่ m และ maxDepth
- กำหนดวิธีการแบบเรียกซ้ำแก้ปัญหา () สิ่งนี้จะใช้โหนดและระดับ ระดับเริ่มต้นคือ 0
- หากไม่มีโหนด ให้ส่งคืน
- maxDepth :=สูงสุดของระดับและ maxDepth
- เพิ่ม m[ระดับ] ตามค่าของโหนด
- แก้ (ด้านซ้ายของโหนด ระดับ + 1)
- แก้(ด้านขวาของโหนด ระดับ + 1)
- ในวิธีการหลัก ตั้งค่า maxDepth :=0 จากนั้นจึงแก้ปัญหา (root, 0)
- ผลตอบแทน m[maxDepth]
ตัวอย่าง(C++)
ให้เราดูการใช้งานต่อไปนี้เพื่อความเข้าใจที่ดีขึ้น -
#include <bits/stdc++.h>
using namespace std;
class TreeNode{
public:
int val;
TreeNode *left, *right;
TreeNode(int data){
val = data;
left = NULL;
right = NULL;
}
};
void insert(TreeNode **root, int val){
queue<TreeNode*> q;
q.push(*root);
while(q.size()){
TreeNode *temp = q.front();
q.pop();
if(!temp->left){
if(val != NULL)
temp->left = new TreeNode(val);
else
temp->left = new TreeNode(0);
return;
}
else{
q.push(temp->left);
}
if(!temp->right){
if(val != NULL)
temp->right = new TreeNode(val);
else
temp->right = new TreeNode(0);
return;
}
else{
q.push(temp->right);
}
}
}
TreeNode *make_tree(vector<int> v){
TreeNode *root = new TreeNode(v[0]);
for(int i = 1; i<v.size(); i++){
insert(&root, v[i]);
}
return root;
}
class Solution {
public:
int maxDepth;
map <int, int> m;
void solve(TreeNode* node, int level = 0){
if(!node)return;
maxDepth = max(level, maxDepth);
m[level] += node->val;
solve(node->left, level + 1);
solve(node->right, level + 1);
}
int deepestLeavesSum(TreeNode* root) {
maxDepth = 0;
m.clear();
solve(root);
//cout << maxDepth << endl;
return m[maxDepth];
}
};
main(){
vector<int> v = {1,2,3,4,5,NULL,6,7,NULL,NULL,NULL,NULL,8};
TreeNode *root = make_tree(v);
Solution ob;
cout << (ob.deepestLeavesSum(root));
} อินพุต
[1,2,3,4,5,null,6,7,null,null,null,null,8]
ผลลัพธ์
15