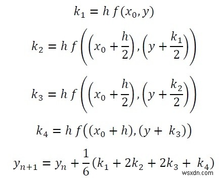
วิธี Runge Kutta ใช้สำหรับแก้สมการเชิงอนุพันธ์สามัญ (ODE) มันใช้ฟังก์ชัน dy/dx สำหรับ x และ y และต้องการค่าเริ่มต้นของ y เช่น y(0) ค้นหาค่าโดยประมาณของ y สำหรับ x ที่กำหนด ในการแก้ ODE เราต้องทำตามสูตรเหล่านี้:

นี่คือความสูงของช่วงเวลา
หมายเหตุ: จากสูตรเหล่านี้ เราสามารถใช้ k1 และ k2 สองตัวแรกเพื่อค้นหาโซลูชัน Runge-Kutta 2nd Order สำหรับ ODE
อินพุตและเอาต์พุต
Input: The x0 and f(x0): 0 and 0 the value of x = 0.4 the value of h = 0.1 Output: Answer of differential equation: 0.0213594
อัลกอริทึม
rungeKutta(x0, y0, x, h)
อินพุต - ค่า x และ y เริ่มต้น ค่า x เป้าหมาย และความสูงของช่วง h
ผลลัพธ์ - ค่าของ y สำหรับค่า x
Begin iteration := (x – x0)/h y = y0 for i := 1 to iteration, do k1 := h*f(x0, y) k2 := h*f((x0 + h/2), (y + k1/2)) k3 := h*f((x0 + h/2), (y + k2/2)) k4 := h*f((x0 + h), (y + k3)) y := y + (1/6)*(k1 + 2k2 + 2k3 + k4) x0 := x0 + h done return y End
ตัวอย่าง
#include <iostream>
using namespace std;
double diffOfy(double x, double y) {
return ((x*x)+(y*y)); //function x^2 + y^2
}
double rk4thOrder(double x0, double y0, double x, double h) {
int iteration = int((x - x0)/h); //calculate number of iterations
double k1, k2, k3, k4;
double y = y0; //initially y is f(x0)
for(int i = 1; i<=iteration; i++) {
k1 = h*diffOfy(x0, y);
k2 = h*diffOfy((x0+h/2), (y+k1/2));
k3 = h*diffOfy((x0+h/2), (y+k2/2));
k4 = h*diffOfy((x0+h), (y+k3));
y += double((1.0/6.0)*(k1+2*k2+2*k3+k4)); //update y using del y
x0 += h; //update x0 by h
}
return y; //f(x) value
}
int main() {
double x0, y0, x, h;
cout << "Enter x0 and f(x0): "; cin >> x0 >> y0;
cout << "Enter x: "; cin >> x;
cout << "Enter h: "; cin >> h;
cout << "Answer of differential equation: " << rk4thOrder(x0, y0, x, h);
} ผลลัพธ์
Enter x0 and f(x0): 0 0 Enter x: 0.4 Enter h: 0.1 Answer of differential equation: 0.0213594