เช่นเดียวกับกฎสี่เหลี่ยมคางหมู กฎข้อที่ 3 ของ Simpson ยังใช้เพื่อค้นหาค่าปริพันธ์จากช่วง a ถึง b ความแตกต่างหลักระหว่างสี่เหลี่ยมคางหมูกับกฎข้อที่ 3 ของซิมป์สัน คือ ในกฎสี่เหลี่ยมคางหมู ทั้งส่วนจะถูกแบ่งออกเป็นสี่เหลี่ยมคางหมู แต่ในกรณีนี้ สี่เหลี่ยมคางหมูแต่ละอันจะแบ่งออกเป็นสองส่วนด้วย
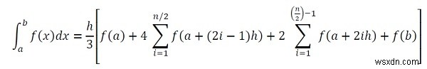
สำหรับกฎนี้ เราจะทำตามสูตรนี้:

โดยที่ h คือความกว้างของช่วง และ n คือจำนวนช่วง เราสามารถหา h ได้โดยใช้

อินพุตและเอาต์พุต
Input: The function f(x): (x+(1/x). The lower and upper limit: 1, 2. The number of intervals: 20. Output: The answer is: 2.19315
อัลกอริทึม
integrateSimpson(a, b, n)
ป้อนข้อมูล - ขีดจำกัดล่างและบนของอินทิกรัลและจำนวนช่วง n.
ผลลัพธ์ − ผลลัพธ์หลังการบูรณาการ
Begin h := (b - a)/n res := f(a) + f(b) lim := n/2 for i := 1 to lim, do oddSum := oddSum + f(a + (2i - 1)h) done oddSum := oddSum * 4 for i := 1 to lim-1, do evenSum := evenSum + f(a + 2ih) done evenSum := evenSum * 2 res := res + oddSum + evenSum res := res * (h/3) return res End
ตัวอย่าง
#include<iostream>
#include<cmath>
using namespace std;
float mathFunc(float x) {
return (x+(1/x)); //function 1 + 1/x
}
float integrate(float a, float b, int n) {
float h, res = 0.0, oddSum = 0.0, evenSum = 0.0, lim;
int i;
h = (b-a)/n; //calculate the distance between two interval
res = (mathFunc(a)+mathFunc(b)); //initial sum using f(a) and f(b)
lim = n/2;
for(i = 1; i<=lim; i++)
oddSum += mathFunc(a+(2*i-1)*h); //sum of numbers, placed at odd number
oddSum *= 4; //odd sum are multiplied by 4
for(i = 1; i<lim; i++)
evenSum += mathFunc(a+(2*i)*h); //sum of numbers, placed at even number
evenSum *= 2; //even sum are multiplied by 2
res += oddSum+evenSum;
res *= (h/3);
return res; //The result of integration
}
main() {
float result, lowLim, upLim;
int interval;
cout << "Enter Lower Limit, Upper Limit and interval: ";
cin >>lowLim >>upLim >>interval;
result = integrate(lowLim, upLim, interval);
cout << "The answer is: " << result;
} ผลลัพธ์
Enter Lower Limit, Upper Limit and interval: 1 2 20 The answer is: 2.19315