Computer >> บทช่วยสอนคอมพิวเตอร์ >  >> การเขียนโปรแกรม >> Python
Python
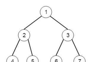
  1. โปรแกรมค้นหารากของต้นไม้ n-ary ใน Python

    สมมติว่าเราได้รับโหนดของต้นไม้ n-ary ในอาร์เรย์ เราต้องหาและส่งคืนโหนดรากของต้นไม้โดยการสร้างใหม่ ต้องแสดงแผนผังแบบเต็มจากโหนดที่ส่งคืนในรูปแบบการสั่งซื้อล่วงหน้า ดังนั้นหากอินพุตเป็นแบบ แล้วผลลัพธ์ที่ได้จะเป็น [14, 27, 32, 42, 56, 65] เราจะใช้รากของต้นไม้เพื่อแสดงการข้ามผ่านของต้นไม้ล่วงหน้า ด

  2. โปรแกรมหาเส้นผ่านศูนย์กลางของต้นไม้ n-ary ใน Python

    สมมติว่าเราได้รับต้นไม้ n-ary และบอกว่าให้กำหนดเส้นผ่านศูนย์กลางของต้นไม้ เส้นผ่านศูนย์กลางของต้นไม้เป็นเส้นทางที่ยาวที่สุดซึ่งอยู่ระหว่างโหนดสองใบของต้นไม้ เราต้องหาและคืนค่าจำนวนเต็มที่แทนเส้นผ่านศูนย์กลางของต้นไม้ ดังนั้นหากอินพุตเป็นแบบ แล้วผลลัพธ์จะเป็น 3 65 (ทำเครื่องหมายในแผนภาพด้วยเส้นสี

  3. โปรแกรมค้นหาดัชนีในอาร์เรย์ที่มีองค์ประกอบที่ใหญ่ที่สุดอยู่ใน Python

    สมมติว่าเราได้รับคลาสที่เรียกว่า TestArray ที่มีอาร์เรย์ที่ไม่สามารถเข้าถึงได้โดยคลาสอื่น ๆ และฟังก์ชันของสมาชิกสาธารณะสองฟังก์ชัน length() และ comparison() ฟังก์ชัน length() จะคืนค่าความยาวของอาร์เรย์ และฟังก์ชัน Compare() จะคืนค่าที่ต่างกันสามค่าที่เปรียบเทียบอาร์เรย์ย่อยต่างๆ จากอาร์เรย์ ฟังก์ชัน

  4. โปรแกรมค้นหาดัชนีขององค์ประกอบที่พบบ่อยที่สุดในอาร์เรย์ที่ซ่อนอยู่ในPython

    สมมติว่าเราได้รับคลาสที่เรียกว่า TestArray ที่มีอาร์เรย์ส่วนตัวซึ่งสามารถมีค่าได้ 0 หรือ 1 เท่านั้น และสองฟังก์ชันของสมาชิกสาธารณะ length() และ query() ฟังก์ชัน length() จะคืนค่าความยาวของอาร์เรย์ และฟังก์ชัน query() จะคืนค่าที่ต่างกันสามค่าที่เปรียบเทียบค่าต่างๆ ในอาร์เรย์ ฟังก์ชันรับค่า p, q, r, s

  5. โปรแกรมค้นหาว่าสตริงที่ให้มาแตกต่างกันโดยอักขระในตำแหน่งเดียวกันใน Python . หรือไม่

    สมมติว่าเราจัดเตรียมอาร์เรย์ที่มีสตริงหลายตัวที่มีความยาวเท่ากัน เราต้องค้นหาว่าสตริงที่ให้มาสองสายมีอักขระตัวเดียวในตำแหน่งเดียวกันต่างกันหรือไม่ หากมีความแตกต่างนี้ เราจะคืนค่าจริงหรือคืนค่าเท็จ ดังนั้น หากอินพุตเป็นเหมือน dict =[pqrs, prqs, paqs] ผลลัพธ์จะเป็น True ผลลัพธ์ที่ได้คือ True เนื่องจา

  6. โปรแกรมหาจำนวนกล่องที่จะใส่ลงใน godown ใน Python

    สมมติว่าเรามีสองอาร์เรย์ที่มีจำนวนเต็ม รายการหนึ่งประกอบด้วยความสูงของกล่องความกว้างบางหน่วย และอีกอาร์เรย์หนึ่งมีความสูงของห้องในช่องเก็บของ ห้องมีหมายเลข 0...n และความสูงของห้องอยู่ในดัชนีตามลำดับในอาร์เรย์ godown เราต้องหาจำนวนกล่องที่สามารถผลักเข้าไปในโกดังได้ บางสิ่งต้องจำไว้ กล่องไม่สามารถใ

  7. โปรแกรมค้นหาดอทโปรดัคของเวกเตอร์กระจัดกระจายสองตัวใน Python

    สมมติว่า เรามีเวกเตอร์กระจัดกระจายสองรายการ แสดงในสองรายการ เราต้องคืนค่าดอทโปรดัคของเวกเตอร์กระจัดกระจายสองตัว เวกเตอร์จะแสดงเป็นวัตถุ และรายการจะถูกเก็บไว้ในตัวแปรสมาชิก nums ในวัตถุ ดังนั้น หากอินพุตเป็น vector1 =[1, 0, 0, 0, 1], vector2 =[0, 0, 0, 1, 1] ผลลัพธ์จะเป็น 1 ผลคูณดอทคือ 1 * 0 + 0 * 0

  8. โปรแกรมหาจำนวนกล่องที่สามารถใส่ลงใน godown ใน Python

    สมมติว่าเรามีสองอาร์เรย์ที่มีจำนวนเต็ม รายการหนึ่งประกอบด้วยความสูงของกล่องความกว้างบางหน่วย และอีกอาร์เรย์หนึ่งมีความสูงของห้องในช่องเก็บของ ห้องมีหมายเลข 0...n และความสูงของห้องอยู่ในดัชนีตามลำดับในอาร์เรย์ godown เราต้องหาจำนวนกล่องที่สามารถผลักเข้าไปในโกดังได้ บางสิ่งต้องจำไว้ กล่องไม่สามารถว

  9. จะรัน matplotlib ใน Tkinter ได้อย่างไร?

    หนึ่งในกรณีการใช้งานที่รู้จักกันดีของ Python คือการเรียนรู้ด้วยเครื่องและวิทยาศาสตร์ข้อมูล เพื่อให้เห็นภาพและพล็อตชุดข้อมูล เราใช้ไลบรารี Matplotlib ในการพล็อตกราฟ matplotlib ในแอปพลิเคชัน Tkinter เราต้องนำเข้าไลบรารีโดยเริ่มต้น จาก matplotlib.pyplot เป็น plt พล็อตสามารถวาดได้โดยการกำหนดค่าช่วงหรือ

  10. จะระบุตำแหน่งที่ควรเปิดหน้าต่าง Tkinter ได้อย่างไร?

    หน้าต่าง Tkinter สามารถกำหนดค่าได้โดยใช้ Geometry Manager เมื่อเราระบุหน้าต่างหลักโดยใช้ เรขาคณิต(กว้าง x สูง + position_right + position_left) วิธี จากนั้นเรามักจะเปิดใช้งานหน้าต่างเพื่อเปิดในตำแหน่งใดตำแหน่งหนึ่ง ตัวอย่าง #Import the required libraries from tkinter import * #Create an instance of

  11. จะผูกเหตุการณ์กับรายการ Tkinter Canvas ได้อย่างไร

    เหตุการณ์ Tkinter สามารถเชื่อมโยงกับวิดเจ็ตเพื่อดำเนินการชุดการดำเนินการบนวิดเจ็ต เพื่อให้เฉพาะเจาะจงมากขึ้น เราสามารถผูกตัวจัดการเหตุการณ์กับรายการผ้าใบได้โดยใช้ bind( โทรกลับ) กระบวนการ. การเชื่อมโยงเหตุการณ์กับรายการผ้าใบทำให้รายการผ้าใบเป็นไดนามิกซึ่งสามารถปรับแต่งโดยตัวจัดการเหตุการณ์ได้ ตัวอย

  12. เมนูแบบเลื่อนลง Tkinter พร้อมแป้นพิมพ์ลัด

    เมนูแบบเลื่อนลงเป็นเพียงรายการของรายการเมนูที่เรียงซ้อนกันในแนวตั้งซึ่งสามารถมองเห็นได้ที่แถบเมนูด้านบนของแอปพลิเคชัน เราสามารถสร้างแถบเมนูในแอปพลิเคชัน Tkinter โดยการสร้างวัตถุของ Menu() ซึ่งมีทุกรายการในเมนู อาจมีกรณีที่เราต้องการเลือกเมนูและดำเนินการพื้นฐานบางอย่างโดยใช้แป้นพิมพ์ลัด ในการผูกคีย์

  13. จะคอมไพล์แอพ Python 3 เป็น. exe โดยใช้ Tkinter ได้อย่างไร

    Python เป็นที่รู้จักกันดีในเรื่องไลบรารีส่วนขยายและแพ็คเกจที่หลากหลาย เราสามารถนำเข้าและติดตั้งแพ็คเกจที่จำเป็นจากไลบรารี อย่างไรก็ตาม หากเราต้องการเรียกใช้แอปพลิเคชัน Tkinter ด้วยไฟล์ปฏิบัติการในระบบปฏิบัติการ Windows เราก็สามารถใช้ Pyinstaller แพ็คเกจใน Python โดยจะแปลงแอปพลิเคชันที่ใช้ Python เป

  14. สีหน้าต่างเริ่มต้น Tkinter และรหัสสีฐานสิบหกใน Tkinter

    สามารถปรับแต่งหน้าต่าง Tkinter ได้โดยการเพิ่มคุณสมบัติและคุณสมบัติ เช่น สีพื้นหลัง สีพื้นหน้า ความกว้าง ความสูง ฯลฯ แอตทริบิวต์สีใน config() กำหนดสีเริ่มต้นของหน้าต่างหลัก เราสามารถกำหนดสีของหน้าต่างโดยกำหนดสี Hex (เช่น #000 สำหรับสีดำ) หรือชื่อของสี สามารถดูแผนภูมิสี Tkinter ที่รองรับได้ที่นี่ ตั

  15. อะไรคือความแตกต่างระหว่างคลาส Tk และ Toplevel ของ Tkinter?

    หน้าต่าง Tkinter ถูกสร้างขึ้นโดยเริ่มต้น Tk วัตถุก่อน มันเป็นส่วนน้อยที่สุดของแอปพลิเคชัน Tkinter ใด ๆ ซึ่งช่วยในการยกตัวอย่างแอปพลิเคชัน ต ช่วยในการสร้างส่วนประกอบพื้นฐานของแอปพลิเคชัน เช่น หน้าต่างแอปพลิเคชันที่มีการวางวิดเจ็ตทั้งหมด อย่างไรก็ตามคลาสระดับบนสุด ช่วยในการสื่อสารผ่านวิดเจ็ตภายในขอ

  16. จะลบแถบชื่อเรื่องในหน้าต่าง Tkinter โดยไม่ใช้วิธี overrideredirect () ได้อย่างไร

    ในการลบแถบชื่อเรื่องของหน้าต่าง Tkinter เราสามารถใช้ wm_attributes(type, value) โดยระบุประเภททรัพย์สิน ในตัวอย่างต่อไปนี้ เราจะใช้ เต็มหน้าจอ ค่าบูลีนที่ลบแถบชื่อเรื่องของหน้าต่าง ตัวอย่าง #Import the tkinter library from tkinter import * #Create an instance of tkinter frame win = Tk() win.geomet

  17. จะลบไอคอนออกจากแถบชื่อเรื่องใน Tkinter ได้อย่างไร?

    ในการลบไอคอนเริ่มต้นของหน้าต่าง Tkinter เราสามารถใช้ wm_attributes(type, value) โดยระบุประเภททรัพย์สิน ในตัวอย่างต่อไปนี้ เราจะใช้ -toolwindow ค่าบูลีนที่ลบไอคอนที่เกี่ยวข้องกับแถบชื่อเรื่องของแอปพลิเคชัน ตัวอย่าง #Import the tkinter library from tkinter import * #Create an instance of tkinter fra

  18. ซ่อนคอนโซลของไฟล์ .exe ที่สร้างด้วย PyInstaller ใน Tkinter

    ในการแปลงแอปพลิเคชัน Tkinter มาตรฐานเป็นไฟล์เรียกทำงานของหน้าต่าง โดยทั่วไปเราใช้แพ็คเกจ Pyintsaller มันแปลงไฟล์แอปพลิเคชันเป็นแอปพลิเคชันที่ปฏิบัติการได้ อย่างไรก็ตาม เราสังเกตเห็นว่าเมื่อเราเปิดไฟล์ปฏิบัติการ (หรือ .exe) ไฟล์นั้นจะแสดงเชลล์คำสั่งก่อนเปิดหน้าต่างแอปพลิเคชัน เราสามารถซ่อนหรือหลีกเลี

  19. จะทำให้หน้าต่างโฟกัสไปที่หน้าต่าง Toplevel () ใหม่ใน Tkinter ได้อย่างไร?

    Tkinter ระดับบนสุด คลาสมี ระดับบนสุด หน้าต่างที่เป็นหน้าต่างลูกอื่นที่ไม่ใช่หน้าต่างหลัก เมื่อใดก็ตามที่เราสร้างหน้าต่างระดับบนสุด หน้าต่างจะปรากฏขึ้นเหนือหน้าต่างหลักพร้อมกับวิดเจ็ตที่กำหนดไว้ เพื่อให้หน้าต่างระดับบนสุดโฟกัสได้ เราสามารถใช้ grab_set() กระบวนการ. โดยจะรักษาหน้าต่างระดับบนสุดไว้เห

  20. อ่านรูปภาพด้วย OpenCV และแสดงด้วย Tkinter

    OpenCV เป็นไลบรารี Open Source Computer Vision ใน Python ซึ่งใช้กันอย่างแพร่หลายเพื่อการวิจัยด้านปัญญาประดิษฐ์และการเรียนรู้ของเครื่อง Computer Vision Library เช่น OpenCV เกี่ยวข้องกับการประมวลผลภาพ เราสามารถใช้ OpenCV เพื่ออ่านรูปภาพและนำไปใช้เพื่อการพัฒนาต่อไปได้ สมมติว่าเราต้องการสร้างแอปพลิเคชั

Total 8994 -คอมพิวเตอร์  FirstPage PreviousPage NextPage LastPage CurrentPage:281/450  20-คอมพิวเตอร์/Page Goto:1 275 276 277 278 279 280 281 282 283 284 285 286 287