สมมติว่าเรามีอาร์เรย์จำนวนเต็ม องค์ประกอบทั้งหมดในอาร์เรย์นั้นไม่ซ้ำกัน การสร้างต้นไม้สูงสุดในอาร์เรย์นี้ถูกกำหนดดังนี้ -
-
รูทจะเก็บจำนวนสูงสุดไว้ในอาร์เรย์
-
ทรีย่อยด้านซ้ายเป็นทรีสูงสุดที่สร้างจากด้านซ้ายของ subarray หารด้วยจำนวนสูงสุด
-
ทรีย่อยด้านขวาคือทรีสูงสุดที่สร้างจากด้านขวาของอาร์เรย์ย่อยหารด้วยจำนวนสูงสุด
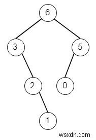
เราต้องสร้างไบนารีทรีสูงสุด ดังนั้นหากอินพุตมีลักษณะดังนี้:[3,2,1,6,0,5] ผลลัพธ์จะเป็น −

เพื่อแก้ปัญหานี้ เราจะทำตามขั้นตอนเหล่านี้ -
-
กำหนดวิธีการที่เรียกว่าแก้ปัญหา () ซึ่งจะรับรายการและค่าซ้ายและขวา ฟังก์ชันจะทำงานดังนี้ −
-
ถ้า left> right ให้คืนค่า null
-
maxIndex :=left และ maxVal :=nums[left]
-
สำหรับฉันอยู่ในช่วงซ้าย + 1 ไปขวา
-
ถ้า maxVal
-
-
กำหนดโหนดที่มีค่า maxVal
-
ด้านซ้ายของโหนด :=แก้ (nums, left, maxIndex - 1)
-
ด้านขวาของโหนด :=แก้ (nums, maxIndex + 1, ขวา)
-
โหนดกลับ
-
วิธีการแก้ปัญหาจะถูกเรียกจากส่วนหลักดังนี้:Solve(nums, 0, length of nums array - 1)
ให้เราดูการใช้งานต่อไปนี้เพื่อความเข้าใจที่ดีขึ้น -
ตัวอย่าง
#include <bits/stdc++.h>
using namespace std;
class TreeNode{
public:
int val;
TreeNode *left, *right;
TreeNode(int data){
val = data;
left = NULL;
right = NULL;
}
};
void insert(TreeNode **root, int val){
queue<TreeNode*> q;
q.push(*root);
while(q.size()){
TreeNode *temp = q.front();
q.pop();
if(!temp->left){
if(val != NULL)
temp->left = new TreeNode(val);
else
temp->left = new TreeNode(0);
return;
} else {
q.push(temp->left);
}
if(!temp->right){
if(val != NULL)
temp->right = new TreeNode(val);
else
temp->right = new TreeNode(0);
return;
} else {
q.push(temp->right);
}
}
}
TreeNode *make_tree(vector<int> v){
TreeNode *root = new TreeNode(v[0]);
for(int i = 1; i<v.size(); i++){
insert(&root, v[i]);
}
return root;
}
void inord(TreeNode *root){
if(root != NULL){
inord(root->left);
cout << root->val << " ";
inord(root->right);
}
}
class Solution {
public:
TreeNode* solve(vector <int>& nums, int left, int right){
if(left>right)return NULL;
int maxIndex = left;
int maxVal = nums[left];
for(int i = left + 1; i <= right; i++){
if(maxVal < nums[i]){
maxVal = nums[i];
maxIndex = i;
}
}
TreeNode* node = new TreeNode(maxVal);
node->left = solve(nums, left, maxIndex - 1);
node->right = solve(nums, maxIndex + 1, right);
return node;
}
TreeNode* constructMaximumBinaryTree(vector<int>& nums) {
return solve(nums, 0, nums.size() - 1);
}
};
main(){
vector<int> v = {4,3,2,7,1,6};
Solution ob;
inord(ob.constructMaximumBinaryTree(v));
} อินพุต
[3,2,1,6,0,5]
ผลลัพธ์
4 3 2 7 1 6