สมมุติว่าเรามีกราฟ เราต้องตรวจสอบว่ากราฟมีการเชื่อมต่ออย่างแน่นหนาหรือไม่โดยใช้อัลกอริธึม Kosaraju กราฟมีการเชื่อมต่อกันอย่างแน่นหนา หากมีจุดยอดสองจุดใดมีเส้นทางระหว่างกัน แสดงว่ากราฟนั้นเชื่อมต่อกัน กราฟที่ไม่มีทิศทางคือกราฟที่เชื่อมต่อกันอย่างแน่นหนา
กราฟที่ไม่ระบุทิศทางบางส่วนอาจเชื่อมต่อได้ แต่ไม่เชื่อมโยงอย่างแน่นหนา นี่คือตัวอย่างกราฟที่เชื่อมโยงกันอย่างมาก

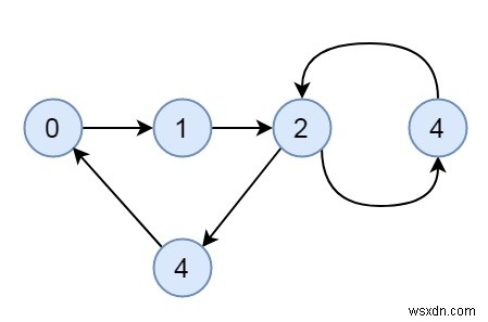
นี่คือตัวอย่างกราฟที่เชื่อมต่อแต่ไม่เชื่อมโยงกันอย่างแน่นหนา

มาดูวิธีการตรวจสอบกราฟว่าเชื่อมกันอย่างแน่นหนาหรือไม่อย่างไร โดยใช้ขั้นตอนวิธีโกศราจุุดังต่อไปนี้
ขั้นตอน −
-
ทำเครื่องหมายโหนดทั้งหมดว่าไม่ได้เยี่ยมชม
-
เริ่มต้นการข้ามผ่าน DFS จากจุดยอดใดก็ได้ที่คุณกำหนดเอง หาก DFS ไม่สามารถเยี่ยมชมโหนดทั้งหมดได้ ให้คืนค่าเท็จ
-
กลับขอบของกราฟทั้งหมด
-
ตั้งค่าจุดยอดทั้งหมดเป็นโหนดที่ไม่ได้เยี่ยมชมอีก
-
เริ่มการข้ามผ่าน DFS จากจุดยอดนั้น u หาก DFS ไม่สามารถเยี่ยมชมโหนดทั้งหมดได้ ให้คืนค่าเท็จ อย่างอื่นจริง
ตัวอย่าง
#include <iostream>
#include <list>
#include <stack>
using namespace std;
class Graph {
int V;
list<int> *adj;
void dfs(int v, bool visited[]);
public:
Graph(int V) {
this->V = V;
adj = new list<int>[V];
}
~Graph() {
delete [] adj;
}
void addEdge(int v, int w);
bool isStronglyConnected();
Graph reverseArc();
};
void Graph::dfs(int v, bool visited[]) {
visited[v] = true;
list<int>::iterator i;
for (i = adj[v].begin(); i != adj[v].end(); ++i)
if (!visited[*i])
dfs(*i, visited);
}
Graph Graph::reverseArc() {
Graph graph(V);
for (int v = 0; v < V; v++) {
list<int>::iterator i;
for(i = adj[v].begin(); i != adj[v].end(); ++i)
graph.adj[*i].push_back(v);
}
return graph;
}
void Graph::addEdge(int u, int v) {
adj[u].push_back(v);
}
bool Graph::isStronglyConnected() {
bool visited[V];
for (int i = 0; i < V; i++)
visited[i] = false;
dfs(0, visited);
for (int i = 0; i < V; i++)
if (visited[i] == false)
return false;
Graph graph = reverseArc();
for(int i = 0; i < V; i++)
visited[i] = false;
graph.dfs(0, visited);
for (int i = 0; i < V; i++)
if (visited[i] == false)
return false;
return true;
}
int main() {
Graph graph(5);
graph.addEdge(0, 1);
graph.addEdge(1, 2);
graph.addEdge(2, 3);
graph.addEdge(3, 0);
graph.addEdge(2, 4);
graph.addEdge(4, 2);
graph.isStronglyConnected()? cout << "This is strongly connected" : cout << "This is not strongly connected";
} ผลลัพธ์
This is strongly connected