ในองค์ประกอบกราฟที่มีทิศทางกล่าวกันว่าเชื่อมต่อกันอย่างแน่นหนา เมื่อมีเส้นทางระหว่างจุดยอดแต่ละคู่ในองค์ประกอบเดียว

ในการแก้ปัญหาอัลกอริธึมนี้ ประการแรก อัลกอริทึม DFS ถูกใช้เพื่อรับเวลาสิ้นสุดของแต่ละจุดยอด ตอนนี้ให้หาเวลาสิ้นสุดของกราฟทรานสโพส จากนั้นจุดยอดจะถูกจัดเรียงตามลำดับจากมากไปน้อยตามการจัดเรียงทอพอโลยี
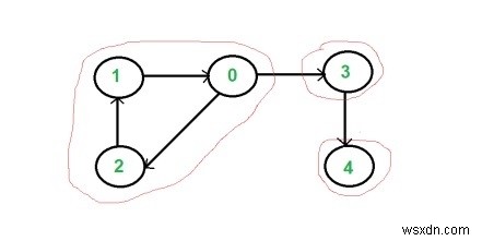
ป้อนข้อมูล :เมทริกซ์ที่อยู่ติดกันของกราฟ
| 0 | 0 | 1 | 1 | 0 |
| 1 | 0 | 0 | 0 | 0 |
| 0 | 1 | 0 | 0 | 0 |
| 0 | 0 | 0 | 0 | 1 |
| 0 | 0 | 0 | 0 | 0 |
ผลผลิต :ต่อไปนี้เป็นองค์ประกอบที่เชื่อมต่อกันอย่างมากในกราฟที่กำหนด -
0 1 2 3 4
อัลกอริทึม
สำรวจ (กราฟ เริ่ม เข้าชม)
ป้อนข้อมูล :กราฟที่จะข้าม จุดยอดเริ่มต้น และแฟล็กของการเยี่ยมชม
โหนด
ผลผลิต :ผ่านแต่ละโหนดในเทคนิค DFS และแสดงโหนด
Begin mark start as visited for all vertices v connected with start, do if v is not visited, then traverse(graph, v, visited) done End
topoSort(u, เยี่ยมชม, stack)
ป้อนข้อมูล − โหนดเริ่มต้น แฟล็กสำหรับจุดยอดที่เข้าชม สแต็ก
ผลผลิต - เติมสแต็กขณะจัดเรียงกราฟ
Begin mark u as visited for all node v, connected with u, do if v is not visited, then topoSort(v, visited, stack) done push u into the stack End
getStrongConComponents(กราฟ)
ป้อนข้อมูล − กราฟที่กำหนด
ผลผลิต − ส่วนประกอบที่เชื่อมต่ออย่างแน่นหนาทั้งหมด
Begin initially all nodes are unvisited for all vertex i in the graph, do if i is not visited, then topoSort(i, vis, stack) done make all nodes unvisited again transGraph := transpose of given graph while stack is not empty, do pop node from stack and take into v if v is not visited, then traverse(transGraph, v, visited) done End
โค้ดตัวอย่าง
#include <iostream>
#include <stack>
#define NODE 5
using namespace std;
int graph[NODE][NODE]= {
{0, 0, 1, 1, 0},
{1, 0, 0, 0, 0},
{0, 1, 0, 0, 0},
{0, 0, 0, 0, 1},
{0, 0, 0, 0, 0}};
int transGraph[NODE][NODE];
void transpose() { //transpose the graph and store to transGraph
for(int i = 0; i<NODE; i++)
for(int j = 0; j<NODE; j++)
transGraph[i][j] = graph[j][i];
}
void traverse(int g[NODE][NODE], int u, bool visited[]) {
visited[u] = true; //mark v as visited
cout << u << " ";
for(int v = 0; v<NODE; v++) {
if(g[u][v]) {
if(!visited[v])
traverse(g, v, visited);
}
}
}
void topoSort(int u, bool visited[], stack<int> &stk) {
visited[u] = true; //set as the node v is visited
for(int v = 0; v<NODE; v++) {
if(graph[u][v]) { //for allvertices v adjacent to u
if(!visited[v])
topoSort(v, visited, stk);
}
}
stk.push(u); //push starting vertex into the stack
}
void getStrongConComponents() {
stack<int> stk;
bool vis[NODE];
for(int i = 0; i<NODE; i++)
vis[i] = false; //initially all nodes are unvisited
for(int i = 0; i<NODE; i++)
if(!vis[i]) //when node is not visited
topoSort(i, vis, stk);
for(int i = 0; i<NODE; i++)
vis[i] = false; //make all nodes are unvisited for traversal
transpose(); //make reversed graph
while(!stk.empty()) { //when stack contains element, process in topological order
int v = stk.top(); stk.pop();
if(!vis[v]) {
traverse(transGraph, v, vis);
cout << endl;
}
}
}
int main() {
cout << "Following are strongly connected components in given graph: "<<endl;
getStrongConComponents();
} ผลลัพธ์
Following are strongly connected components in given graph: 0 1 2 3 4