Computer >> บทช่วยสอนคอมพิวเตอร์ >  >> การเขียนโปรแกรม >> C++
C++
  1. โปรแกรม C++ เพื่อใช้ Slicker Algorithm ที่หลีกเลี่ยง Triangulation เพื่อค้นหาพื้นที่ของรูปหลายเหลี่ยม

    นี่คือโปรแกรม C++ เพื่อค้นหาพื้นที่ของรูปหลายเหลี่ยมโดยใช้อัลกอริธึม slicker ที่หลีกเลี่ยง Triangulation เพื่อค้นหาพื้นที่ของรูปหลายเหลี่ยม มันถือว่าแบบแผนทางคณิตศาสตร์ปกติที่ y บวกชี้ขึ้นไป ในระบบคอมพิวเตอร์ที่ค่าบวก y อยู่ด้านล่าง สิ่งที่ง่ายที่สุดที่จะทำคือการแสดงรายการจุดยอดทวนเข็มนาฬิกาโดยใช้พ

  2. โปรแกรม C++ ที่จะใช้ด้านบนด้านล่าง primitive เพื่อทดสอบว่าเส้นสองเส้นตัดกันหรือไม่

    นี่คือโปรแกรม C ++ ที่จะใช้ด้านบนด้านล่าง primitive เพื่อทดสอบว่าเส้นสองเส้นตัดกันหรือไม่ สามารถใช้เพื่อทดสอบว่าเส้นตัดกับส่วนของเส้นตรงหรือไม่ มันจะเกิดขึ้นก็ต่อเมื่อจุดปลายด้านหนึ่งของเซ็กเมนต์อยู่ทางซ้ายของเส้นและอีกจุดหนึ่งอยู่ทางขวา อัลกอริทึม Begin    For generating equation of the f

  3. โปรแกรม C++ เพื่อตรวจสอบว่าจุด d อยู่ภายในหรือภายนอกวงกลมที่กำหนดโดยจุด a, b, c ในเครื่องบิน

    เราจะพิจารณาโปรแกรม C++ เพื่อตรวจสอบว่าจุด d อยู่ภายในหรือนอกวงกลมที่กำหนดโดยจุด a, b, c ในระนาบโดยใช้สมการ s = (x-xt)^2 + (y-yt)^2 – r*r โดยที่ สำหรับจุด t (xt, yt) ใดๆ บนระนาบ ตำแหน่งของจุดนั้นเทียบกับวงกลมที่กำหนดโดย 3 จุด (x1, y1), (x2, y2), (x3, y3) สำหรับ s <0 t อยู่ภายในวงกลม 0 t จะอย

  4. โปรแกรม C++ เพื่อใช้อัลกอริทึมการห่อของขวัญในสองมิติ

    เราจะพัฒนาโปรแกรม C++ เพื่อใช้อัลกอริทึมการห่อของขวัญในสองมิติ อัลกอริธึมห่อของขวัญเป็นอัลกอริธึมสำหรับคำนวณเปลือกนูนของชุดคะแนนที่กำหนด อัลกอริทึม Begin    function convexHull() to find convex hull of a set of n points:    There must be at least three points.    Initia

  5. ความแตกต่างระหว่างเนมสเปซและคลาสใน C++

    ในส่วนนี้เราจะมาดูกันว่าอะไรคือความแตกต่างระหว่างเนมสเปซและคลาสใน C++ เนมสเปซและคลาสเป็นสองแนวคิดที่แตกต่างกัน คลาสเป็นประเภทข้อมูล คลาสนั้นเป็นเวอร์ชันเสริมของโครงสร้างโดยทั่วไป คลาสสามารถมีสมาชิกข้อมูลและฟังก์ชันเป็นสมาชิกได้ แต่เนมสเปซสามารถมีตัวแปรและฟังก์ชันได้โดยการจัดกลุ่มให้เป็นหนึ่งเดียว ไ

  6. ความแตกต่างระหว่าง std::vector และ std::array ใน C++

    ต่อไปนี้เป็นข้อแตกต่างระหว่างเวกเตอร์และอาร์เรย์ - เวกเตอร์คือคอนเทนเนอร์แบบต่อเนื่องสำหรับจัดเก็บองค์ประกอบและไม่ใช่แบบอิงดัชนี อาร์เรย์จัดเก็บคอลเล็กชันตามลำดับขนาดคงที่ขององค์ประกอบประเภทเดียวกันและอิงตามดัชนี เวกเตอร์มีลักษณะแบบไดนามิก ดังนั้น ขนาดจะเพิ่มขึ้นเมื่อมีการแทรกองค์ประกอบ เนื่องจากอา

  7. คลาสอาร์เรย์ใน C++

    คลาส Array ใน C++ นั้นมีประสิทธิภาพเพียงพอและรู้ขนาดของตัวเองด้วย ฟังก์ชันที่ใช้ในการดำเนินการกับอาร์เรย์คือ size() =เมื่อต้องการคืนค่าขนาดของอาร์เรย์ เช่น คืนค่า no ขององค์ประกอบของอาร์เรย์ max_size() =เพื่อคืนค่าจำนวนสูงสุดขององค์ประกอบในอาร์เรย์ get(), at(), operator[] =เพื่อเข้าถึงองค์ประกอบอาร

  8. โปรแกรม C++ เพื่อสร้างแผนผังนิพจน์สำหรับ Prefix Expression

    ต้นไม้นิพจน์นั้นเป็นต้นไม้ไบนารีที่ใช้เพื่อแสดงนิพจน์ ในแผนผังนิพจน์ โหนดภายในสอดคล้องกับตัวดำเนินการ และโหนดปลายสุดแต่ละโหนดจะสอดคล้องกับตัวถูกดำเนินการ นี่คือโปรแกรม C++ เพื่อสร้างแผนผังนิพจน์สำหรับคำนำหน้า Expression ในการข้ามผ่าน inorder, preorder และ postorder อัลกอริทึม Begin    clas

  9. พิมพ์อักขระ n ครั้งโดยไม่ต้องใช้ลูป การเรียกซ้ำ หรือ goto ใน C++

    ในส่วนนี้เราจะมาดูวิธีการพิมพ์อักขระ n ครั้งโดยไม่ต้องใช้ลูปและการเรียกซ้ำใน C ++ เราสามารถแก้ปัญหานี้ได้โดยใช้ตัวสร้างคลาสสตริง มีคอนสตรัคเตอร์ที่เราใช้อักขระที่จะพิมพ์หลายครั้งและจำนวนครั้งที่พิมพ์ โค้ดตัวอย่าง #include <iostream> using namespace std; void print_char_n_times(char my_char, in

  10. คำนวณช่วงของประเภทข้อมูลโดยใช้ C++

    ใน C++ เรามีประเภทข้อมูลที่แตกต่างกัน เช่น int, char, double เป็นต้น ในส่วนนี้เราจะมาดูวิธีหาขนาดของข้อมูลเหล่านี้โดยทางโปรแกรม เราสามารถหาขนาดของประเภทข้อมูลเป็นไบต์ได้ ดังนั้นเราสามารถคูณพวกมันเป็น 8 เพื่อให้ได้ค่าเป็นบิต ตอนนี้เรารู้แล้วว่าถ้าจำนวนบิตเป็น n แล้วช่วงต่ำสุดจะเป็น – 2^(n-1) และช่วง

  11. ทำไมเราควรหลีกเลี่ยงการใช้ std::endl ใน C++

    ในส่วนนี้เราจะมาดูกันว่าทำไมเราควรหลีกเลี่ยง std::endl ขณะพิมพ์บรรทัดลงในคอนโซลหรือไฟล์ เราใช้ std::endl สำหรับสร้างขึ้นบรรทัดใหม่หลังบรรทัดปัจจุบัน สำหรับการดำเนินการ IO สองสามบรรทัด จะไม่สร้างปัญหาใดๆ แต่สำหรับงาน IO จำนวนมาก ประสิทธิภาพการทำงานจะลดลง endl ใช้เพื่อสร้างบรรทัดใหม่ แต่ไม่ได้ส่งไปยั

  12. fork() เพื่อดำเนินการกระบวนการจากล่างขึ้นบนโดยใช้ wait() ใน C++

    เรารู้ว่าการเรียกระบบ fork() ใช้เพื่อแบ่งกระบวนการออกเป็นสองกระบวนการ ถ้าฟังก์ชัน fork() คืนค่า 0 แสดงว่าเป็นโปรเซสลูก มิฉะนั้น จะเป็นโปรเซสหลัก ในตัวอย่างนี้ เราจะเห็นวิธีการแบ่งกระบวนการสี่ครั้ง และใช้กระบวนการเหล่านี้จากล่างขึ้นบน ในตอนแรกเราจะใช้ฟังก์ชัน fork() สองครั้ง ดังนั้น มันจะสร้างกระบวน

  13. reference_wrapper ใน C++

    ใน C ++ reference_wrapper เป็นเทมเพลตคลาสที่ช่วยโดยห่อการอ้างอิงในสำเนาที่สร้างได้และคัดลอกวัตถุที่กำหนดได้ประเภท T อินสแตนซ์ของ std::reference_wrapper เป็นวัตถุโดยทั่วไป แต่สามารถแปลงเป็น T&ได้ ดังนั้นเราจึงสามารถใช้เป็นอาร์กิวเมนต์กับฟังก์ชันที่ใช้ประเภทอ้างอิงโดยการอ้างอิง โค้ดตัวอย่าง #include &

  14. โปรแกรมพิมพ์พีระมิดกลวงและลายเพชรในภาษา C++

    เราจะมาดูวิธีการสร้างรูปแบบพีระมิดและเพชรแบบกลวงโดยใช้ C++ เราสามารถสร้างรูปแบบพีระมิดที่เป็นของแข็งได้ง่ายมาก เราต้องเพิ่มลูกเล่นบางอย่างเพื่อให้ดูกลวงๆ พีระมิดกลวง สำหรับพีระมิดที่บรรทัดแรก จะพิมพ์ดาวหนึ่งดวง และบรรทัดสุดท้ายจะพิมพ์ดาวจำนวน n ดวง สำหรับบรรทัดอื่นๆ จะพิมพ์ดาวสองดวงตรงจุดเริ่มต้นแล

  15. การคำนวณในกระบวนการหลักและย่อยโดยใช้ fork() ใน C++

    ในส่วนนี้เราจะมาดูวิธีการใช้ fork() เพื่อสร้างโปรเซสลูกใน C++ เรายังทำการคำนวณในแต่ละขั้นตอนอีกด้วย ดังนั้นในกระบวนการหลัก เราจะพบผลรวมของจำนวนคู่ทั้งหมดของอาร์เรย์ และภายในกระบวนการลูก เราจะนับผลรวมคี่จากองค์ประกอบอาร์เรย์ เมื่อเรียก fork() จะส่งกลับค่า หากค่ามากกว่า 0 แสดงว่าอยู่ในกระบวนการหลัก ม

  16. RTTI (ข้อมูลประเภทรันไทม์) ใน C++

    ในส่วนนี้เราจะมาดูกันว่าอะไรคือ RTTI (ข้อมูลประเภทรันไทม์) ใน C++ ใน C ++ RTTI เป็นกลไกที่แสดงข้อมูลเกี่ยวกับประเภทข้อมูลของอ็อบเจ็กต์ระหว่างรันไทม์ คุณลักษณะนี้จะใช้ได้เฉพาะเมื่อคลาสมีฟังก์ชันเสมือนอย่างน้อยหนึ่งฟังก์ชัน อนุญาตให้กำหนดประเภทของวัตถุเมื่อโปรแกรมกำลังทำงาน ในตัวอย่างต่อไปนี้ รหัสแรก

  17. ไลบรารี Chrono ใน C ++

    ในส่วนนี้เราจะมาดูกันว่า Chrono library ใน C++ คืออะไร ห้องสมุด Chrono นี้ใช้สำหรับวันที่และเวลา ตัวจับเวลาและนาฬิกาแตกต่างกันไปในแต่ละระบบ ดังนั้นหากเราต้องการปรับปรุงเวลามากกว่าความแม่นยำ เราก็สามารถใช้ห้องสมุดนี้ได้ ในไลบรารีนี้ มีแนวคิดที่เป็นกลางอย่างแม่นยำ โดยแยกระยะเวลาและจุดของเวลา วัตถุระ

  18. ข้อยกเว้นทำงานอย่างไรใน C++

    ใน C ++ การจัดการข้อยกเว้นเป็นกระบวนการในการจัดการข้อผิดพลาดรันไทม์ ข้อยกเว้นคือเหตุการณ์ที่เกิดขึ้นขณะรันไทม์ใน C ++ ข้อยกเว้นทั้งหมดมาจากคลาส std::exception มันเป็นข้อผิดพลาดรันไทม์ที่สามารถจัดการได้ มันพิมพ์ข้อความแสดงข้อยกเว้นและยุติโปรแกรม หากเราไม่จัดการกับข้อยกเว้น ข้อยกเว้นถูกกำหนดในมาตรฐาน

  19. โปรแกรม C++ เพื่อนับการผกผันในอาร์เรย์

    การผกผันการนับหมายถึงจำนวนสวิตช์ที่จำเป็นในการจัดเรียงอาร์เรย์ จำนวนการผกผัน =0 เมื่อจัดเรียงอาร์เรย์ จำนวนการผกผัน =สูงสุด เมื่ออาร์เรย์เรียงลำดับย้อนกลับ ให้เราพัฒนาโปรแกรม C++ เพื่อนับการผกผันในอาร์เรย์ อัลกอริทึม Begin    Function CountInversionArray has arguments a[], n = number of e

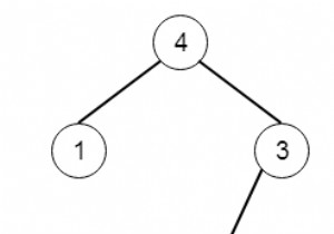
  20. โปรแกรม C++ เพื่อใช้งานแผนผังการค้นหาแบบไบนารีโดยใช้รายการที่เชื่อมโยง

    นี่คือโปรแกรม C++ เพื่อใช้งาน Binary Search Tree โดยใช้ Linked Lists ฟังก์ชันและรหัสเทียม อัลกอริทึม Begin    Take the nodes of the tree as input.    Create a structure nod to take the data d, a left pointer l and a right r as input.    Create a function create() to ins

Total 6007 -คอมพิวเตอร์  FirstPage PreviousPage NextPage LastPage CurrentPage:45/301  20-คอมพิวเตอร์/Page Goto:1 39 40 41 42 43 44 45 46 47 48 49 50 51