Computer >> บทช่วยสอนคอมพิวเตอร์ >  >> การเขียนโปรแกรม >> C++
C++
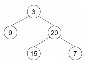
  1. ค้นหาทรีย่อย BST ที่ใหญ่ที่สุดใน Binary Tree ที่กำหนด - ชุดที่ 1 ใน C++

    ในปัญหานี้ เราได้รับไบนารีทรี BT งานของเราคือ ค้นหาทรีย่อย BST ที่ใหญ่ที่สุดในทรีไบนารีที่กำหนด . Binary Tree เป็นโครงสร้างข้อมูลพิเศษที่ใช้เพื่อการจัดเก็บข้อมูล ต้นไม้ไบนารีมีเงื่อนไขพิเศษที่แต่ละโหนดสามารถมีลูกได้สูงสุดสองคน Binary Search Tree (BST) เป็นต้นไม้ที่โหนดทั้งหมดเป็นไปตามคุณสมบัติที่ก

  2. ค้นหาจำนวนสินค้าที่มีค่ามากที่สุดในตัวหารของจำนวนที่กำหนด N ใน C++

    ในปัญหานี้ เราได้รับตัวเลข N หน้าที่ของเราคือ ค้นหาจำนวนสินค้าที่มีค่ามากที่สุดในตัวหารของจำนวนที่กำหนด N . เลขเด็ด2 มาดูตัวอย่างเพื่อทำความเข้าใจปัญหากัน Input : N = 15 Output : 15 คำอธิบาย − Divisors of 15 : 1, 3, 5, 15. แนวทางการแก้ปัญหา วิธีแก้ปัญหาอย่างง่ายคือการหาตัวหารทั้งหมดของ N และหา

  3. ค้นหาตัวคูณที่ใหญ่ที่สุดของ 2, 3 และ 5 ใน C++

    ในปัญหานี้ เราได้รับอาร์เรย์ arr[] ขนาด N ซึ่งประกอบด้วยตัวเลขเดียวเท่านั้น งานของเราคือ หาตัวคูณที่ใหญ่ที่สุดของ 2, 3 และ 5 . มาดูตัวอย่างเพื่อทำความเข้าใจปัญหากัน Input : arr[] = {1, 0, 5, 2} Output : 510 คำอธิบาย − The number 510 is divisible by all 2, 3, 5. แนวทางการแก้ปัญหา วิธีแก้ปัญหาง่า

  4. ค้นหาโหนดที่ใหญ่ที่สุดในรายการเชื่อมโยงทวีคูณใน C++

    ในปัญหานี้ เราได้รับ LL รายการที่เชื่อมโยงเป็นสองเท่า งานของเราคือ ค้นหาโหนดที่ใหญ่ที่สุดใน Doubly Linked List . มาดูตัวอย่างเพื่อทำความเข้าใจปัญหากัน Input : linked-list = 5 -> 2 -> 9 -> 8 -> 1 -> 3 Output : 9 แนวทางการแก้ปัญหา แนวทางง่ายๆ ในการแก้ปัญหาคือผ่านรายการเชื่อมโยง และหา

  5. ค้นหาจำนวนที่มากที่สุดพร้อมจำนวนหลักและผลรวมของหลักใน C++

    ในปัญหานี้ เราได้รับค่าจำนวนเต็มสองค่า N แสดงถึงการนับหลักของตัวเลขและผลรวมที่แสดงถึงผลรวมของตัวเลข งานของเราคือ หาจำนวนที่มากที่สุดด้วยจำนวนหลักที่กำหนดและผลรวมของหลัก . มาดูตัวอย่างเพื่อทำความเข้าใจปัญหากัน Input : N = 3, sum = 15 Output : 960 แนวทางการแก้ปัญหา วิธีง่ายๆ ในการแก้ปัญหาคือการสำรว

  6. ค้นหาจำนวนที่มากที่สุดด้วย n set และ m unset bit ใน C++

    ในปัญหานี้ เราได้รับค่าจำนวนเต็มสองค่า n และ m งานของเราคือ หาจำนวนที่มากที่สุดด้วย n set และ m unset bits ในการแสดงเลขฐานสองของตัวเลข มาดูตัวอย่างเพื่อทำความเข้าใจปัญหา Input : n = 3, m = 1 Output : 14 คำอธิบาย − Largest number will have 3 set bits and then 1 unset bit. (1110)2 = 14 แนวทางการแก้

  7. ค้นหาผลรวมคู่ที่ใหญ่ที่สุดในอาร์เรย์ที่ไม่เรียงลำดับใน C++

    ในปัญหานี้ เราได้รับ arr[] ซึ่งประกอบด้วยองค์ประกอบที่ไม่ได้เรียงลำดับ N งานของเราคือ หาผลรวมคู่ที่ใหญ่ที่สุดในอาร์เรย์ที่ไม่เรียงลำดับ . เราจะหาคู่ที่มีผลรวมสูงสุด มาดูตัวอย่างเพื่อทำความเข้าใจปัญหากัน Input : arr[] = {7, 3, 9, 12, 1} Output : 21 คำอธิบาย − Pair with largest sum, (9, 12). Sum =

  8. ค้นหาสามองค์ประกอบที่ใหญ่ที่สุดในอาร์เรย์ใน C++

    ในปัญหานี้ เราได้รับ arr[] ซึ่งประกอบด้วยองค์ประกอบที่ไม่ได้เรียงลำดับ N งานของเราคือ ค้นหาสามองค์ประกอบที่ใหญ่ที่สุดในอาร์เรย์ . มาดูตัวอย่างเพื่อทำความเข้าใจปัญหากัน Input : arr[] = {7, 3, 9, 12, 1} Output : 12, 9, 7 แนวทางการแก้ปัญหา โดยพื้นฐานแล้วเราจำเป็นต้องค้นหาองค์ประกอบที่ใหญ่ที่สุดสามรา

  9. ค้นหาฝาแฝดที่ใหญ่ที่สุดในช่วงที่กำหนดใน C++

    ในปัญหานี้ เราได้รับค่าสองค่า lValue และ hValue งานของเราคือ ค้นหาฝาแฝดที่ใหญ่ที่สุดในช่วงที่กำหนด . ตัวเลข 2 ตัวจะเป็นเลขคู่หากทั้งสองจำนวนเป็นจำนวนเฉพาะและผลต่างระหว่างตัวเลขทั้งสองคือ 2 มาดูตัวอย่างเพื่อทำความเข้าใจปัญหากัน Input : lValue = 65, rValue = 100 Output : 71, 73 แนวทางการแก้ปัญหา ว

  10. การติดตั้งชั้นวางปัญหาใน C++

    ในปัญหานี้ เราได้รับค่าจำนวนเต็มสามค่า W, n, m ซึ่งแสดงถึงความยาวของผนัง W ขนาดของชั้นวาง n และ m งานของเราคือ สร้างโปรแกรมเพื่อแก้ปัญหาชั้นวางที่เหมาะสม . เราจำเป็นต้องหาวิธีจัดวางชั้นวางให้พอดีเพื่อให้มีพื้นที่เหลือสำหรับชั้นวางหลังการจัดวางให้เหลือน้อยที่สุด ข้อจำกัดรองขณะแก้ไขคือต้นทุนในการผลิต

  11. การใช้งาน Fizz Buzz ใน C++

    ในปัญหานี้เราจะเห็นการใช้งานและประเภทของ Fizz-Bizz ปัญหา Fizz Buzz − เป็นปัญหาการเขียนโปรแกรมอย่างง่าย โดยที่โปรแกรมเมอร์เปลี่ยนการเกิดขึ้น o ทวีคูณของ 3 ทั้งหมดโดย Fizz และทวีคูณทั้งหมดของ 5 โดย Buzz ’ ในตัวเลขตั้งแต่ 1 ถึง 100 มาดูตัวอย่างเพื่อทำความเข้าใจปัญหากัน 1, 2, 'Fizz', 4, '

  12. แผ่รายการเชื่อมโยงหลายระดับใน C ++

    ในปัญหานี้ เราได้รับรายการเชื่อมโยงหลายระดับ งานของเราคือการสร้างโปรแกรมเพื่อเรียบรายการเชื่อมโยงหลายระดับ การดำเนินการแบนจะดำเนินการในลักษณะที่โหนดระดับแรกจะเกิดขึ้นก่อนในรายการที่เชื่อมโยง จากนั้นโหนดระดับที่สองจะเกิดขึ้น รายการที่เชื่อมโยงหลายระดับ เป็นโครงสร้างข้อมูลแบบหลายมิติ ซึ่งทุกโหนดของร

  13. แบนรายการที่เชื่อมโยงใน C ++

    ในปัญหานี้ เราได้รับรายการลิงก์ที่ประกอบด้วยโหนดพอยน์เตอร์ 2 โหนด ด้านขวาและด้านล่าง โหนดขวา เป็นตัวชี้รายการลิงก์หลัก โหนดล่าง ใช้สำหรับรายการลิงก์รองที่ขึ้นต้นด้วยโหนดนั้น รายการที่เชื่อมโยงทั้งหมดจะถูกจัดเรียง งานของเราคือการสร้างโปรแกรมเพื่อทำให้รายการเชื่อมโยงเรียบ และรายการผลลัพธ์จะเ

  14. ประหยัดจำนวนใน C ++

    ในปัญหานี้ เราได้รับจำนวนเต็มบวก N หน้าที่ของเราคือสร้างโปรแกรมเพื่อตรวจสอบว่าตัวเลขที่ระบุนั้นเป็น ตัวเลขประหยัดหรือไม่ ตัวเลขประหยัด − จำนวนที่มีจำนวนหลักมากกว่าจำนวนหลักในการแยกตัวประกอบเฉพาะของตัวเลขที่ระบุอย่างเคร่งครัด ตัวอย่าง − 625 ตัวประกอบเฉพาะของจำนวน 625 คือ 54 . จำนวนหลักใน 625 คือ

  15. Game of Nim อนุญาตให้นำหินออกได้หนึ่งก้อนใน C++

    ในปัญหานี้เรียกว่า เกม Nim เราได้รับจำนวนเต็มบวก N ซึ่งแสดงถึงกองหินและมีผู้เล่นสองคน playerA และ playerB . งานของเราคือสร้างโปรแกรมทำนายผู้ชนะเกม Nim เกมของ NIM − เรามีก้อนหินมากมายและผู้เล่นสองคน playerA และ playerB . ผู้เล่นแต่ละคนสามารถเลือกหนึ่งร้านจากกองถ้า playerA เริ่มหยิบหินก้อนหนึ่งจากกอง

  16. องค์ประกอบแรกที่ปรากฏขึ้นเป็นจำนวนเท่าในอาร์เรย์ใน C++

    ในปัญหานี้ เราได้รับอาร์เรย์ arr[] ซึ่งประกอบด้วยค่าจำนวนเต็ม N งานของเราคือ สร้างโปรแกรมสำหรับค้นหาองค์ประกอบแรกที่ปรากฏในอาร์เรย์เป็นจำนวนคู่ . หากมีองค์ประกอบใดที่ตรงตามเงื่อนไขส่งคืน มิฉะนั้นให้คืนค่า -1 แสดงว่า เท็จ . มาดูตัวอย่างเพื่อทำความเข้าใจปัญหากัน Input: arr[] = {2, 3, 7, 2, 3, 6, 4,

  17. ค้นหาค่าของ (n^1 + n^2 + n^3 + n^4) mod 5 สำหรับ n ที่กำหนดใน C ++

    ในปัญหานี้ เราได้รับค่า n งานของเราคือ หาค่าของ (n^1 + n^2 + n^3 + n^4) mod 5 สำหรับ n . มาดูตัวอย่างเพื่อทำความเข้าใจปัญหากัน Input : n= 5 Output : 0 คำอธิบาย − (51 + 52 + 53 + 54) mod 5 = (5 + 25 + 125 + 625) mod 5 = (780) mode 5 = 0 แนวทางการแก้ปัญหา วิธีแก้ปัญหาอย่างง่ายคือการค้นหาค่าของสมกา

  18. ค้นหาค่าของบิตที่ k ในการแทนค่าไบนารีใน C++

    ในปัญหานี้ เราได้รับค่า n และ k สองค่า งานของเราคือ หาค่าของบิตที่ k ในการแทนค่าไบนารี . มาดูตัวอย่างเพื่อทำความเข้าใจปัญหากัน Input : n= 5, k = 2 Output : 0 คำอธิบาย − Binary of 5 = 0101 Second LSB bit is 0. แนวทางการแก้ปัญหา วิธีแก้ปัญหาคือทำการแปลงค่าบิต AND ของการแปลงเลขฐานสองของตัวเลข N ด้ว

  19. สำหรับ Versus while ใน C++

    วนซ้ำในการเขียนโปรแกรม ใช้ในการคำนวณบล็อกของรหัสหลายครั้ง เราจะเห็นความแตกต่างระหว่างลูปสองประเภทในโปรแกรม For Loop และ While Loop . สำหรับลูป For Loop เป็นประเภทของลูปควบคุมการทำซ้ำ ซึ่งช่วยให้ผู้ใช้สามารถวนซ้ำบล็อกโค้ดที่กำหนดได้ไม่เกินจำนวนครั้งที่กำหนด ไวยากรณ์ for(initisation; condition; updat

  20. ค้นหาค่าของ y mod (2 ยกกำลัง x) ใน C++

    ในปัญหานี้ เราได้รับค่า x และ y สองค่า งานของเราคือ หาค่าของ y mod (2 ยกกำลัง x) . มาดูตัวอย่างเพื่อทำความเข้าใจปัญหากัน Input : x = 2, y = 19 Output : 3 คำอธิบาย − y % 2x = 19 % 22 = 19 % 4 = 3 แนวทางการแก้ปัญหา วิธีแก้ปัญหาอย่างง่ายคือการคำนวณค่า 2x . โดยตรง โดยใช้ฟังก์ชัน pow() แล้วหาค่าของ

Total 6007 -คอมพิวเตอร์  FirstPage PreviousPage NextPage LastPage CurrentPage:285/301  20-คอมพิวเตอร์/Page Goto:1 279 280 281 282 283 284 285 286 287 288 289 290 291