Computer >> บทช่วยสอนคอมพิวเตอร์ >  >> การเขียนโปรแกรม >> C++
C++
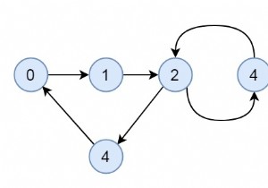
  1. ผลคูณของความยาวของทุกรอบในกราฟแบบไม่บอกทิศทางใน C++

    เราได้รับกราฟแบบไม่มีทิศทางและแบบไม่ถ่วงน้ำหนักเป็นอินพุต และภารกิจคือการหาผลคูณของรอบที่เกิดขึ้นในกราฟที่กำหนดและแสดงผล ตัวอย่าง ป้อนข้อมูล ในรูปมี 8 โหนดและจาก 5 โหนดกำลังสร้างวงจรรวมถึง 1, 6, 3, 5, 8 และส่วนที่เหลือของโหนดจะไม่รวมอยู่ในวงจร ดังนั้น ความยาวของวงจรคือ 5 เนื่องจากมี 5 โหนด ดังน

  2. ผลิตภัณฑ์ย่อยของขนาด K ทั้งหมดยกเว้นองค์ประกอบต่ำสุดและสูงสุดใน C++

    กำหนดอาร์เรย์ arr[n] ซึ่งประกอบด้วยจำนวน n จำนวนเต็มและจำนวนเต็ม k สำหรับกำหนดขนาด งานคือการพิมพ์ผลิตภัณฑ์ของลำดับย่อยทั้งหมดของขนาด k ยกเว้นองค์ประกอบต่ำสุดและสูงสุด สมมติว่าเรามีชุดขององค์ประกอบ 4 รายการ {1, 2, 3, 4} และ k เป็น 2 ดังนั้นชุดย่อยจะเป็น −{1, 2}, {2, 3}, {3, 4}, {1, 4}, {1, 3}, {2, 4

  3. คิวลำดับความสำคัญในไลบรารีเทมเพลตมาตรฐาน C++ (STL)

    คิวลำดับความสำคัญเป็นประเภทข้อมูลนามธรรมสำหรับการจัดเก็บคอลเลกชันขององค์ประกอบที่มีลำดับความสำคัญที่สนับสนุนการแทรกและการลบองค์ประกอบตามลำดับความสำคัญ นั่นคือองค์ประกอบที่มีลำดับความสำคัญเป็นอันดับแรกสามารถลบออกได้ตลอดเวลา คิวลำดับความสำคัญไม่จัดเก็บองค์ประกอบในลักษณะเชิงเส้นตามตำแหน่งขององค์ประกอบ

  4. ความน่าจะเป็นที่จะได้หัวอย่างน้อย K ในการโยนเหรียญ N ครั้งใน C++

    ความน่าจะเป็นคือโอกาสในการได้ผลลัพธ์ที่ต้องการจากชุดข้อมูลที่มีอยู่ ช่วงของความน่าจะเป็นอยู่ระหว่าง 0 ถึง 1 โดยที่จำนวนเต็ม 0 แสดงถึงโอกาสที่เป็นไปไม่ได้ และ 1 แสดงถึงความแน่นอน ความน่าจะเป็นคืออะไร ความน่าจะเป็นในวิชาคณิตศาสตร์ทำให้เรามีเครื่องมือที่บอกความไม่แน่นอนของเหตุการณ์และเหตุผล กล่าวอีก

  5. โปรแกรมสร้าง DFA ที่ขึ้นต้นและลงท้ายด้วย 'a' จากอินพุต (a, b) ใน C++

    กำหนดสตริงของอักขระ DFA คือ a และ b ซึ่งควรขึ้นต้นและลงท้ายด้วยอักขระ a ภารกิจคือการค้นหาว่าสตริงนั้นขึ้นต้นและลงท้ายด้วย a ผ่าน DFA หรือไม่ DFA (Deterministic Finite Automata) คืออะไร ในทฤษฎีการคำนวณ ซึ่งเป็นสาขาหนึ่งของวิทยาการคอมพิวเตอร์เชิงทฤษฎี Deterministic Finite Automata เป็นเครื่องจักรสถ

  6. โปรแกรมจุดตัดของสองบรรทัดในภาษา C++

    กำหนดจุด A และ B ที่สอดคล้องกับเส้น AB และจุด P และ Q ที่สอดคล้องกับเส้น PQ ภารกิจคือการหาจุดตัดระหว่างสองเส้นนี้ หมายเหตุ − จุดจะได้รับในระนาบ 2 มิติบนพิกัด X และ Y ในที่นี้ A(a1, a2), B(b1, b2) และ C(c1, c2), D(d1, d2) คือพิกัดที่สร้างเส้นที่แตกต่างกันสองเส้น และ P(p1, p2) เป็นจุดตัดกัน (เพียง

  7. ผลคูณของจำนวนเฉพาะ K'th ทุกจำนวนในอาร์เรย์ใน C++

    รับอาร์เรย์ arr[n] ที่มี n จำนวนเฉพาะและ k; ภารกิจคือการหาผลคูณของจำนวนเฉพาะทุก ๆ k ในอาร์เรย์ เช่น เรามีอาร์เรย์ arr[] ={3, 5, 7, 11} และ k =2 ดังนั้นจำนวนเฉพาะหลังจากทุกๆ k i.e 5 และ 11 เราต้องหาผลคูณซึ่งจะเป็น 5x11 =55 แล้วพิมพ์ผลลัพธ์ เป็นเอาต์พุต จำนวนเฉพาะคืออะไร จำนวนเฉพาะคือจำนวนธรรมชาติ

  8. การพิมพ์รายการใน 0/1 เป้ใน C++

    กำหนดน้ำหนักและค่าของ n รายการ; งานคือการพิมพ์รายการตาม 0/1 เป้สำหรับน้ำหนักและค่าต่อไปนี้ในเป้ความจุ W เพื่อให้ได้มูลค่ารวมสูงสุดในเป้ เป้ 0/1 คืออะไร เป้เป็นเหมือนกระเป๋าที่มีขนาดคงที่หรือกระเป๋าที่สามารถรับน้ำหนักได้ในปริมาณที่กำหนด สิ่งของแต่ละรายการที่รวมอยู่ในเป้จะมีค่า (กำไร) และน้ำหนักอยู

  9. โปรแกรมสำหรับแอพ K ที่ใช้ล่าสุด (MRU) ใน C++

    กำหนดหมายเลข k และอาร์เรย์ arr[n] ซึ่งประกอบด้วยองค์ประกอบจำนวนเต็มจำนวน n รายการซึ่งจัดเก็บรหัสของแอปที่เปิดอยู่ในระบบ งานคือการแสดงแอพที่ใช้ล่าสุดจำนวน k เช่นเมื่อเรากด alt+tab จะแสดงแอพล่าสุดทั้งหมดและล่าสุดก่อนแอพล่าสุด ตำแหน่งของทุกๆ id แสดงถึงแอปต่างๆ ในระบบ - ดังต่อไปนี้ − Id in arr[0] คือร

  10. โปรแกรมหากำลังของจำนวนเชิงซ้อนใน O(log n) ใน C++

    กำหนดจำนวนเชิงซ้อนในรูปของ x+yi และจำนวนเต็ม n งานคือการคำนวณและพิมพ์ค่าของจำนวนเชิงซ้อนถ้าเรายกกำลังจำนวนเชิงซ้อนด้วย n จำนวนเชิงซ้อนคืออะไร จำนวนเชิงซ้อนคือจำนวนที่สามารถเขียนได้ในรูปของ a + bi โดยที่ a และ b เป็นจำนวนจริง และ i คือคำตอบของสมการหรือเราสามารถบอกได้ว่าจำนวนจินตภาพ พูดง่ายๆ ก็คือ

  11. คิวลำดับความสำคัญของคู่ใน C++ (เรียงลำดับก่อน)

    คิวลำดับความสำคัญเป็นประเภทข้อมูลนามธรรมสำหรับการจัดเก็บคอลเลกชันขององค์ประกอบที่มีลำดับความสำคัญที่สนับสนุนการแทรกและการลบองค์ประกอบตามลำดับความสำคัญ นั่นคือองค์ประกอบที่มีลำดับความสำคัญเป็นอันดับแรกสามารถลบออกได้ตลอดเวลา คิวลำดับความสำคัญไม่จัดเก็บองค์ประกอบในลักษณะเชิงเส้นตามตำแหน่งขององค์ประกอบ

  12. ช่วงเวลา Disjoint สูงสุดใน C ++

    คำอธิบาย กำหนดชุดของช่วง N ภารกิจคือการค้นหาชุดสูงสุดของช่วงที่ไม่ปะติดปะต่อกันระหว่างกัน สองช่วง [i, j] &[k,l] เรียกว่าไม่ปะติดปะต่อกันหากไม่มีจุดร่วมกัน หากช่วงเวลาคือ {{10, 20} {23, 35}, {15, 21}, {37, 41}} คู่ที่ไม่ทับซ้อนกันสูงสุดจะเป็น − {10, 20}{23, 35}{37, 41} โปรดทราบว่าเราไม่สามารถรวม {

  13. เพิ่มจำนวนที่ไม่ได้ลงนามให้มากที่สุดโดยสลับบิตที่ตำแหน่งสูงสุดใน C++

    คำชี้แจงปัญหา กำหนดตัวเลขให้ใหญ่สุดโดยสลับบิตที่ตำแหน่งสุดขั้ว เช่น ที่ตำแหน่งแรกและสุดท้าย ตำแหน่งสุดท้ายที่สองและที่สอง เป็นต้น หากตัวเลขอินพุตคือ 8 การแทนค่าไบนารีของมันคือ− 00000000 00000000 00000000 00001000 หลังจากสลับบิตที่ตำแหน่งสุดขั้วจะกลายเป็น - 00010000 00000000 00000000 00000000 และเ

  14. เพิ่มองค์ประกอบอาร์เรย์ให้ใหญ่สุดตามจำนวนที่กำหนดใน C ++

    คำชี้แจงปัญหา กำหนดอาร์เรย์ของจำนวนเต็ม ตัวเลข และค่าสูงสุด ภารกิจคือการคำนวณค่าสูงสุดที่จะได้รับจากองค์ประกอบอาร์เรย์ ทุกค่าบนอาร์เรย์ที่ข้ามผ่านจากจุดเริ่มต้นสามารถเพิ่มหรือลบออกจากผลลัพธ์ที่ได้รับจากดัชนีก่อนหน้าได้ ดังนั้น ณ จุดใดๆ ผลลัพธ์ที่ได้จะต้องไม่น้อยกว่า 0 และไม่เกินค่าสูงสุดที่กำหนด สำ

  15. เพิ่มผลรวมอาร์เรย์สูงสุดหลังจากการปฏิเสธ K ใน C ++

    คำชี้แจงปัญหา กำหนดอาร์เรย์ขนาด n และจำนวน k เราต้องแก้ไขอาร์เรย์ k จำนวนครั้ง การปรับเปลี่ยนอาร์เรย์หมายถึงในแต่ละการดำเนินการเราสามารถแทนที่องค์ประกอบอาร์เรย์ arr[i] ได้ด้วยการปฏิเสธเช่น arr[i] =-arr[i] ภารกิจคือการดำเนินการนี้ในลักษณะที่หลังจากการดำเนินการ k ผลรวมของอาร์เรย์จะต้องสูงสุด หากอิน

  16. เพิ่มองค์ประกอบให้ใหญ่สุดโดยใช้อาร์เรย์อื่นใน C++

    คำชี้แจงปัญหา กำหนดอาร์เรย์สองชุดที่มีขนาด n ให้ขยายอาร์เรย์แรกให้ใหญ่สุดโดยใช้องค์ประกอบจากอาร์เรย์ที่สองเพื่อให้อาร์เรย์ใหม่มีองค์ประกอบที่ยิ่งใหญ่ที่สุดแต่ไม่ซ้ำกันของทั้งสองอาร์เรย์ที่ให้ความสำคัญกับอาร์เรย์ที่สอง กล่าวคือ องค์ประกอบทั้งหมดของอาร์เรย์ที่สองจะปรากฏก่อนอาร์เรย์แรก อาร์เรย์ ลำดับข

  17. เพิ่มจำนวน 0s ให้สูงสุดโดยพลิก subarray ใน C++

    คำชี้แจงปัญหา จากอาร์เรย์ไบนารี ให้ค้นหาจำนวนศูนย์สูงสุดในอาร์เรย์โดยอนุญาตให้อาร์เรย์ย่อยพลิกเพียงครั้งเดียว การดำเนินการพลิกเปลี่ยนทั้งหมด 0s เป็น 1s และ 1s เป็น 0s ถ้า arr1={1, 1, 0, 0, 0, 0, 0} หากเราพลิก 2 1 เป็น 0 แรก เราจะได้ subarray ขนาด 7 ดังนี้ − {0, 0, 0, 0, 0, 0, 0} อัลกอริทึม 1. พิจ

  18. เพิ่มค่าบิต OR สูงสุดของอาร์เรย์ใน C++

    คำชี้แจงปัญหา กำหนดอาร์เรย์ของจำนวนเต็ม N ค่าระดับบิต OR ขององค์ประกอบทั้งหมดของอาร์เรย์ต้องขยายให้ใหญ่สุดโดยดำเนินการหนึ่งงาน ภารกิจคือการคูณองค์ประกอบใด ๆ ของอาร์เรย์ที่มากที่สุด k ครั้งด้วยจำนวนเต็มที่กำหนด x หากอาร์เรย์อินพุตคือ {4, 3, 6, 1}, k =2 และ x =3 ค่าสูงสุดที่ได้คือ 55 อัลกอริทึม 1. ค

  19. เพิ่มผลรวมของอาร์เรย์ย่อยสูงสุดหลังจากลบองค์ประกอบใน C++ . ไม่เกินหนึ่งรายการ

    คำชี้แจงปัญหา รับอาร์เรย์ arr[] ของจำนวนเต็ม N ภารกิจคือการค้นหาผลรวมของอาร์เรย์ย่อยสูงสุดก่อน จากนั้นจึงลบองค์ประกอบออกจากอาร์เรย์ย่อยไม่เกินหนึ่งรายการ นำองค์ประกอบออกไม่เกินองค์ประกอบเดียวเพื่อให้ผลรวมสูงสุดหลังการนำออกสูงสุด หากอาร์เรย์อินพุตที่กำหนดคือ {1, 2, 3, -2, 3} ผลรวมของอาร์เรย์ย่อยสูง

Total 6007 -คอมพิวเตอร์  FirstPage PreviousPage NextPage LastPage CurrentPage:111/301  20-คอมพิวเตอร์/Page Goto:1 105 106 107 108 109 110 111 112 113 114 115 116 117