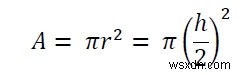
ที่นี่เราจะมาดูวิธีหาพื้นที่วงกลมของสามเหลี่ยมมุมฉากกัน ด้านตรงข้ามมุมฉากของสามเหลี่ยมกำลังสร้างเส้นผ่านศูนย์กลางของวงกลม ดังนั้นหากด้านตรงข้ามมุมฉากคือ h แล้วรัศมีจะเป็น h/2

ดังนั้น พื้นที่คือ −

โค้ดตัวอย่าง
#include <iostream>
#include <cmath>
using namespace std;
float area(float h) {
if (h < 0) //if h is negative it is invalid
return -1;
float area = 3.1415 * (h/2) * (h/2);
return area;
}
int main() {
float h = 8;
cout << "Area : " << area(h);
} ผลลัพธ์
Area : 50.264