Computer >> บทช่วยสอนคอมพิวเตอร์ >  >> การเขียนโปรแกรม >> C++
C++
  1. โปรแกรม C++ เพื่อโอเวอร์โหลดตัวดำเนินการสกัด

    สมมติว่าเรามีคลาส Person ที่มีสองแอตทริบิวต์ first_name และ last_name นอกจากนี้ยังมีสองวิธีที่เรียกว่า get_first_name() และ get_last_name() เพื่อเรียกค้นหรือตั้งชื่อและนามสกุลตามลำดับ เราจะต้องโอเวอร์โหลดตัวดำเนินการสกัด (<<) เพื่อพิมพ์ชื่อและนามสกุลเพื่อพิมพ์โดยใช้คำสั่ง cout ดังนั้น หากการป้อนข้อ

  2. โปรแกรม C++ เพื่อโอเวอร์โหลดตัวดำเนินการบวกเพื่อเพิ่มเมทริกซ์สองตัว

    สมมติว่าเรามีเมทริกซ์สองตัวคือ mat1 และ mat2 เราจะต้องบวกเมทริกซ์สองตัวนี้และสร้างเมทริกซ์ที่สาม เราจะต้องทำสิ่งนี้โดยการโอเวอร์โหลดโอเปอเรเตอร์เพิ่มเติม ดังนั้นหากอินพุตเป็นแบบ 5 8 9 6 7 9 8 3 4 7 6 3 แล้วผลลัพธ์ที่ได้จะเป็น 13 11 13 13 13 12 เพื่อแก้ปัญหานี้ เราจะทำตามขั้นตอนเ

  3. โปรแกรม C ++ เพื่อพิมพ์ค่าของประเภทข้อมูลต่าง ๆ ที่ให้ไว้เป็นอินพุต

    สมมติว่าเราได้รับค่าจำนวนเต็ม ค่ายาว ค่าอักขระ ค่าทศนิยม และค่าสองเท่าเป็นอินพุต เราต้องพิมพ์ค่าที่ให้เราเป็นข้อมูลป้อนเข้าเพื่อรักษาความแม่นยำ ดังนั้น หากอินพุตมีค่าเท่ากับค่าจำนวนเต็ม =15, ค่ายาว =59523256297252, ค่าอักขระ =y, ค่าทศนิยม =367.124, ค่าสองเท่า =6464292.312621 ผลลัพธ์จะเป็น 15 595232

  4. โปรแกรม C++ เพื่อค้นหาค่าเฉพาะในอาร์เรย์

    สมมติว่าเราได้รับอาร์เรย์ arr ที่มีค่าจำนวนเต็มเรียงลำดับจำนวน n ค่า นอกจากนี้เรายังได้รับ แบบสอบถาม อาร์เรย์ขนาด q และเราต้องบอกว่าค่าใน แบบสอบถาม มีอยู่ในอาร์เรย์ที่กำหนด arr หรือไม่ หากค่าในแบบสอบถามมีอยู่ใน arr เราจะพิมพ์ Present พร้อมกับตำแหน่งที่ค่านั้นตั้งอยู่ มิฉะนั้น เราจะพิมพ์ Not present

  5. โปรแกรม C++ เพื่อพิมพ์ค่าในรูปแบบที่กำหนด

    สมมติว่าเราได้รับค่าสองเท่าสามค่า เราต้องจัดรูปแบบและพิมพ์ในรูปแบบต่อไปนี้ เราต้องพิมพ์ส่วนจำนวนเต็มของค่าแรกในรูปแบบเลขฐานสิบหกด้วยตัวพิมพ์เล็ก เราต้องพิมพ์ค่าที่สองเป็นทศนิยมสองตำแหน่งโดยใส่เครื่องหมายไว้ข้างหน้าเพื่อแสดงว่าเป็นค่าบวกหรือค่าลบ ค่าที่สองที่จะพิมพ์จะต้องถูกปรับให้ถูกต้องและมีค

  6. โปรแกรม C++ สาธิตการสืบทอดหลายระดับ

    สมมุติว่าเรามีรถสามประเภท รถโฟร์วีลเลอร์ และรถยนต์ คลาส Vehicle เป็นคลาสพื้นฐาน คลาส FourWheeler มาจากมัน และคลาส Car นั้นมาจากคลาส FourWheeler Class Vehicle มีวิธี vehicle ที่พิมพ์ I am a vehicle, class FourWheeler มีวิธี fourWheeler ที่พิมพ์ I have four wheel และ class Car มีวิธี car ที่พิมพ์ I am

  7. โปรแกรม C++ สาธิตการทำงานของมาโคร

    สมมติว่าเราได้รับอาร์เรย์จำนวนเต็มที่มีค่าจำนวนเต็มหลายค่า เราต้องหาความแตกต่างระหว่างค่าที่น้อยที่สุดและค่าที่มากที่สุดในอาร์เรย์ เพื่อแก้ปัญหานี้ เราต้องใช้มาโคร อินพุตถูกนำมาจาก stdin และผลลัพธ์จะถูกพิมพ์กลับไปที่ stdout ดังนั้น หากอินพุตเป็นเหมือน array ={120, 589, 324, 221, 234} ผลลัพธ์จะเป็น

  8. โปรแกรม C++ สาธิตการจัดการข้อยกเว้น

    สมมติว่ามีฟังก์ชันที่คำนวณการดำเนินการทางคณิตศาสตร์ที่ซับซ้อนอย่างร้ายแรง แต่ระหว่างการดำเนินการ อาจมีข้อยกเว้นบางประการ เราต้องจัดการกับข้อยกเว้นประเภทต่างๆ ที่อาจเกิดขึ้นและดำเนินการดังต่อไปนี้ หากคอมพิวเตอร์ไม่สามารถจัดสรรหน่วยความจำสำหรับการคำนวณได้ เราต้องพิมพ์ Memory Low! หากมีข้อยกเว้นอื่นๆ

  9. โปรแกรม C++ เพิ่มตัวเลขขนาดใหญ่ไม่กี่ตัว

    สมมติว่าเรามีจำนวนอาร์เรย์ของตัวเลขจำนวนมาก ตัวเลขจำนวนมากอยู่ในช่วง (-2^31 ถึง 2^31 - 1) เราต้องหาผลรวมของตัวเลขเหล่านี้ ดังนั้น หากอินพุตเป็น nums =[5000000003, 3000000005, 8000000007, 2000000009, 7000000011] ผลลัพธ์จะเป็น 25000000035 เพื่อแก้ปัญหานี้ เราจะทำตามขั้นตอนเหล่านี้ - x :=0 สำหรับการ

  10. โปรแกรมหาต้นทุนขั้นต่ำในการเชื่อมต่อแต่ละพิกัดคาร์ทีเซียนใน C++

    สมมติว่าเรามีรายการจุดพิกัดคาร์ทีเซียน 2 มิติ (x, y) เราสามารถเชื่อมต่อ (x0, y0) และ (x1, y1) ซึ่งมีค่าใช้จ่าย |x0 - x1| + |y0 - y1|. หากเราได้รับอนุญาตให้เชื่อมต่อจุดจำนวนเท่าใดก็ได้ เราต้องหาต้นทุนขั้นต่ำที่จำเป็นเพื่อให้ทุกจุดเชื่อมต่อกันด้วยเส้นทาง ดังนั้น ถ้าอินพุตเหมือนกับคะแนน =[[0, 0],[0, 2

  11. โปรแกรมหาจำนวนเมทริกซ์ย่อยที่ไม่ใช่ศูนย์ใน C++

    สมมติว่าเราได้รับเมทริกซ์ที่มีค่าเพียงสองค่า 1 วินาที และ 0 วินาที เราต้องหาจำนวนเมทริกซ์ย่อยในเมทริกซ์ที่กำหนดซึ่งมี 1s ทั้งหมด เราพิมพ์ค่าเป็นผลลัพธ์ ดังนั้นหากอินพุตเป็นแบบ 0 0 1 0 0 1 0 0 0 1 0 1 1 1 0 1 แล้วผลลัพธ์จะเป็น 12 เพื่อแก้ปัญหานี้ เราจะทำตามขั้นตอนเหล่านี้ - n :=ขนาดของเมทริ

  12. โปรแกรมหาจำนวนเมทริกซ์ย่อยจากเมทริกซ์ที่ผลรวมของอิลิเมนต์เท่ากับค่าที่กำหนดใน C++

    สมมติว่าเราได้รับเมทริกซ์ที่มีค่าจำนวนเต็ม เราต้องหาเมทริกซ์ย่อยจากเมทริกซ์โดยที่ผลรวมขององค์ประกอบของเมทริกซ์เท่ากับค่าผลรวมเป้าหมายที่กำหนด เราคืนค่าจำนวนเมทริกซ์ย่อย ดังนั้นหากอินพุตเป็นแบบ 0 0 1 0 0 1 0 0 0 1 0 1 1 1 0 1 และเป้าหมาย =5 จากนั้นผลลัพธ์จะเป็น 3 จำนวนของเมทริกซ์ย่อยที่ผลรวม

  13. โปรแกรมหาค่าใช้จ่ายในการรวมอาร์เรย์ของจำนวนเต็มเป็นค่าเดียวใน C++

    สมมติว่าเราได้รับอาร์เรย์ arr ที่มีจำนวนเต็มบวก n เรายังได้รับเลขจำนวนเต็ม j งานที่เราต้องทำคือการรวมตัวเลข j เป็นตัวเลขเดียวโดยเพิ่มเข้าไป ค่าใช้จ่ายในการรวมเท่ากับการบวกตัวเลข j ที่เราได้เลือกไว้ เราต้องหาต้นทุนขั้นต่ำที่เป็นไปได้สำหรับการดำเนินการควบรวมนี้ ดังนั้น หากอินพุตเป็นเหมือน arr =[2, 5,

  14. โปรแกรมถอดรหัสข้อความที่กำหนดใน C++

    สมมติว่าเราได้รับข้อความเข้ารหัสที่เป็นสตริงของตัวเลขจำนวนเต็ม ตอนนี้ ตัวเลขจำนวนเต็มเหล่านี้สามารถจับคู่กับตัวอักษรที่ระบุในตัวอักษรได้ a ถูกจับคู่กับ 1, b ถูกจับคู่กับ 2, c ถูกแมปกับ 3, และอื่นๆ นอกจากนี้ยังมีอักขระ * ที่สามารถอยู่ในข้อความและสามารถจับคู่กับตัวเลขใดก็ได้ตั้งแต่ 1 ถึง 9 ดังนั้นเมื่

  15. โปรแกรมแสดงจำนวนเต็มบวกเป็นคำในภาษา C++

    สมมติว่าเราได้รับจำนวนเต็มบวก เราต้องสะกดตัวเลขเป็นคำ เช่นถ้าป้อนตัวเลข 56 เอาต์พุตจะเป็น Fifty-Six ช่วงของการแปลงสูงถึงหนึ่งพันล้าน ดังนั้น หากอินพุตเหมือนกับอินพุต =5678 เอาต์พุตจะเป็นห้าพันหกร้อยเจ็ดสิบแปด เพื่อแก้ปัญหานี้ เราจะทำตามขั้นตอนเหล่านี้ - กำหนดอาร์เรย์ ตัวเลข ที่มีคู่เช่น − {{Billi

  16. โปรแกรมค้นหาความแตกต่างน้อยที่สุดที่ k ระหว่างคู่องค์ประกอบทั้งหมดในอาร์เรย์ใน C++

    สมมติว่าเราได้รับรายการที่มีตัวเลขจำนวนเต็มหลายจำนวน เราต้องหาความแตกต่างระหว่างค่าแต่ละคู่ในอาร์เรย์และหาค่าความแตกต่างน้อยที่สุดที่ k ดัชนีเริ่มต้นที่ 0 และค่า k ถูกกำหนดให้เป็นอินพุต ดังนั้น หากอินพุตเหมือนกับตัวเลข ={2, 6, 4, 8}, k =2 ผลลัพธ์จะเป็น 2 ความแตกต่างระหว่างคู่คือ − (2, 6) =4 (2,

  17. โปรแกรม C++ เพื่อดูว่าผู้เข้าร่วมสามารถชมภาพยนตร์ได้ทั้งหมดกี่เรื่องในเทศกาลภาพยนตร์

    สมมติว่ามีเทศกาลภาพยนตร์ที่จัดแสดงภาพยนตร์ต่างๆ จากประเทศต่างๆ ตอนนี้ ผู้เข้าร่วมต้องการชมภาพยนตร์จำนวนสูงสุดที่ไม่ทับซ้อนกัน และเราต้องช่วยพวกเขาค้นหาว่าสามารถชมภาพยนตร์ได้กี่เรื่อง มีโครงสร้างภาพยนตร์ที่มีสมาชิกดังต่อไปนี้ - เวลาเริ่มต้นของภาพยนตร์ ระยะเวลาของภาพยนตร์ เวลาสิ้นสุดของภาพยนตร์ มี

  18. โปรแกรม C++ เพื่อค้นหาองค์ประกอบที่แตกต่างกันในลำดับที่กำหนด

    สมมติว่าเราได้รับเลขจำนวนเต็มสามจำนวน n, x, y และ z เราต้องสร้างลำดับจากจำนวนเต็มที่กำหนด โดยที่รายการแรกของลำดับคือ (x modulo 231 ). นอกเหนือจากองค์ประกอบแรก องค์ประกอบอื่นในลำดับ ai =(a(i-1) * y + z) โมดูโล 231 โดยที่ 1 ≤ i ≤ n - 1. เราต้องหาจำนวนเต็มไม่ซ้ำกันในลำดับที่เราทำ ดังนั้น หากอินพุตเป็น

  19. ขั้นต่ำ 1 วินาทีในการให้พลังงานเพื่อทำให้อาร์เรย์ทั้งหมดมีประสิทธิภาพโดยใช้ C++

    เราได้รับอาร์เรย์ไบนารีซึ่งสามารถเก็บตัวเลข 1 และ 0 ของขนาดที่กำหนดและตัวแปรจำนวนเต็ม สมมติว่า ฐาน งานคือการคำนวณค่าต่ำสุด 1 ที่สามารถให้พลังงานแก่องค์ประกอบอื่น ๆ ของอาร์เรย์ไบนารีเพื่อให้อาร์เรย์ทั้งหมดมีประสิทธิภาพ องค์ประกอบสามารถให้พลังงานแก่องค์ประกอบที่อยู่ติดกันหรือองค์ประกอบอื่นใดภายในระยะท

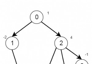
  20. เลขที่ขั้นต่ำ ของการวนซ้ำเพื่อส่งข้อมูลไปยังโหนดทั้งหมดในทรีใน C++

    เราได้รับโครงสร้างข้อมูลแบบต้นไม้ที่มีจำนวนโหนด n ต้นไม้ที่กำหนดจะมีโหนดรูทและชายน์ตามลำดับซึ่งสามารถเป็นตัวเลขใดก็ได้ และชายด์เพิ่มเติมสามารถมีลูกจำนวนเท่าใดก็ได้ ภารกิจคือการค้นหาจำนวนการวนซ้ำขั้นต่ำที่โหนดรูทของทรีต้องการเพื่อส่งข้อมูลไปยังโหนดทั้งหมดในทรี ในแต่ละครั้ง โหนดสามารถส่งข้อมูลไปยังลูก

Total 6007 -คอมพิวเตอร์  FirstPage PreviousPage NextPage LastPage CurrentPage:272/301  20-คอมพิวเตอร์/Page Goto:1 266 267 268 269 270 271 272 273 274 275 276 277 278