Computer >> บทช่วยสอนคอมพิวเตอร์ >  >> การเขียนโปรแกรม >> C++
C++
  1. ค้นหา x^y และ y^x ที่ใหญ่กว่าใน C++

    ในปัญหานี้ เราได้ตัวเลข x และ y สองตัว งานของเราคือ หาค่า x^y และ y^x ให้มากขึ้น คำอธิบายปัญหา: ปัญหาง่ายมาก เราต้องหาสภาพอากาศ x กำลัง y มากกว่า y กำลัง x มาดูตัวอย่างเพื่อทำความเข้าใจปัญหากัน ป้อนข้อมูล: x =4, y =5 ผลลัพธ์: 1024 คำอธิบาย: x^y =4^5 =1024 y^x =5^4 =625 แนวทางการแก้ปัญหา

  2. ค้นหาจำนวนที่ใหญ่ที่สุดที่น้อยกว่า N ด้วยชุดตัวเลขเดียวกันใน C++

    ในปัญหานี้ เราได้รับสตริง N ที่แทนตัวเลข งานของเราคือ หาจำนวนที่มากที่สุดที่น้อยกว่า N ด้วยชุดตัวเลขเดียวกัน คำอธิบายปัญหา: เราจำเป็นต้องค้นหาตัวเลขโดยใช้ตัวเลขทั้งหมดของตัวเลขที่ระบุซึ่งมีจำนวนน้อยที่สุดที่น้อยกว่า N มาดูตัวอย่างเพื่อทำความเข้าใจปัญหากัน ป้อนข้อมูล: ไม่มี =“54314” ผลลัพธ์:

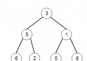
  3. ค้นหาผลรวมทรีย่อยที่ใหญ่ที่สุดในทรีใน C++

    ในปัญหานี้ เราได้รับไบนารีทรี งานของเราคือ ค้นหาผลรวมทรีย่อยที่ใหญ่ที่สุดในทรี คำอธิบายปัญหา: ต้นไม้ไบนารีประกอบด้วยค่าบวกและค่าลบ และเราต้องหาทรีย่อยที่มีจำนวนโหนดสูงสุด มาดูตัวอย่างเพื่อทำความเข้าใจปัญหากัน ผลลัพธ์: 13 คำอธิบาย: ผลรวมของทรีย่อยทางซ้ายคือ 7 ผลรวมของทรีย่อยขวาคือ 1

  4. ค้นหาผลรวมของตัวเลขที่ใหญ่ที่สุดในตัวหารทั้งหมดของ n ใน C++

    ในปัญหานี้ เราได้รับจำนวนเต็ม n งานของเราคือ หาผลรวมของหลักที่ใหญ่ที่สุดในตัวหารทั้งหมดของ n คำอธิบายปัญหา: ในที่นี้ เราจะหาตัวหารของจำนวน n ซึ่งมีผลรวมของหลักมากที่สุด มาดูตัวอย่างเพื่อทำความเข้าใจปัญหากัน ป้อนข้อมูล: 18 ผลลัพธ์: 9 คำอธิบาย: ตัวหารทั้งหมดของ 18 คือ 1, 2, 3, 6, 9, 18 ผลร

  5. ค้นหาตัวเลขสุดท้ายของ a^b สำหรับตัวเลขขนาดใหญ่ใน C++

    ในปัญหานี้ เราได้ตัวเลข a และ b สองตัว งานของเราคือ ค้นหาตัวเลขสุดท้ายของ a^b สำหรับตัวเลขขนาดใหญ่ มาดูตัวอย่างเพื่อทำความเข้าใจปัญหากัน ป้อนข้อมูล: a =4 b =124 ผลลัพธ์: 6 คำอธิบาย: ค่าของ a^b คือ 4.523128486 * 1074 แนวทางการแก้ปัญหา วิธีแก้ปัญหาขึ้นอยู่กับข้อเท็จจริงที่ว่าเลขชี้กำลังทั้

  6. ค้นหาห้าหลักสุดท้ายของตัวเลขห้าหลักที่ระบุยกกำลังห้าใน C++

    ในปัญหานี้ เราได้รับหมายเลข N หน้าที่ของเราคือ ค้นหาตัวเลขห้าหลักสุดท้ายของตัวเลขห้าหลักที่ระบุซึ่งยกกำลังห้า มาดูตัวอย่างเพื่อทำความเข้าใจปัญหากัน ป้อนข้อมูล: N =25211 ผลลัพธ์: แนวทางการแก้ปัญหา ในการแก้ปัญหา เราต้องค้นหาเฉพาะค่าผลลัพธ์ห้าหลักสุดท้าย ดังนั้น เราจะหาเลขท้ายของตัวเลขหลังการเ

  7. ค้นหาความยาวของเส้นทแยงมุมของหกเหลี่ยมใน C++

    ในปัญหานี้ เราได้รับจำนวนเต็ม n ซึ่งแสดงถึงความยาวของด้านของรูปหกเหลี่ยมปกติ งานของเราคือ หาความยาวของเส้นทแยงมุมของรูปหกเหลี่ยม คำอธิบายปัญหา: ในที่นี้ เรามีด้านของรูปหกเหลี่ยมปกติ และเราต้องหาความยาวของเส้นทแยงมุมของรูปหกเหลี่ยม มาดูตัวอย่างเพื่อทำความเข้าใจปัญหากัน ป้อนข้อมูล: a =7 ผลลัพธ์

  8. ค้นหาความยาวของลูปในรายการที่เชื่อมโยงใน C++

    ในปัญหานี้ เราได้รับรายการเชื่อมโยงที่อาจมีการวนซ้ำ งานของเราคือ ค้นหาความยาวของลูปในรายการที่เชื่อมโยง คำอธิบายปัญหา: เราจำเป็นต้องนับจำนวนโหนดในลูปหากมีลูปไม่เช่นนั้นให้คืนค่า -1 มาดูตัวอย่างเพื่อทำความเข้าใจปัญหากัน ป้อนข้อมูล: ลิงค์ลิสต์ : ผลลัพธ์: 8 แนวทางการแก้ปัญหา ในการแก้ปัญหา ก่

  9. ค้นหาความยาวของขอบเขตที่ใหญ่ที่สุดใน Boolean Matrix ใน C++

    ในปัญหานี้ เราได้รับเมทริกซ์ 2 มิติขนาด nXm ซึ่งประกอบด้วย 0 และ 1 เท่านั้น งานของเราคือ หาความยาวของขอบเขตที่ใหญ่ที่สุดในบูลีนเมทริกซ์ คำอธิบายปัญหา: ถ้าเซลล์มี 1 แสดงว่าเป็นเซลล์ที่เติม เราจำเป็นต้องค้นหาความยาวของเซลล์ที่เชื่อมต่อซึ่งเชื่อมต่อกัน ในแนวนอนหรือแนวตั้งหรือแนวทแยงมุม มาดูตัวอ

  10. ค้นหาตำแหน่งของตัวอักษรในตัวอักษรโดยใช้การทำงานแบบบิตใน C++

    ในปัญหานี้ เราจะได้ string str ที่ประกอบด้วยตัวอักษรภาษาอังกฤษ งานของเราคือ ค้นหาตำแหน่งของตัวอักษรในตัวอักษรโดยใช้การทำงานบิต คำอธิบายปัญหา: ในที่นี้เราจะคืนค่าตำแหน่งของอักขระแต่ละตัวของสตริงตามที่เป็นตัวอักษรภาษาอังกฤษ อักขระของสตริงไม่คำนึงถึงขนาดตัวพิมพ์ เช่น t และ T จะถือว่าเหมือนกัน มาดู

  11. ค้นหาตัวเลขที่ยาวที่สุดในสตริงในภาษา C++

    ในปัญหานี้ เราได้รับสตริง str ที่ประกอบด้วยอักขระและตัวอักษรเท่านั้น งานของเราคือ ค้นหาหมายเลขที่ยาวที่สุดในสตริง คำอธิบายปัญหา: เราต้องหาความยาวของตัวเลข เช่น อักขระตัวเลขต่อเนื่องกันในสตริง มาดูตัวอย่างเพื่อทำความเข้าใจปัญหากัน ป้อนข้อมูล: str =“code001tutorials34124point” ผลลัพธ์: 34124

  12. ค้นหาหมายเลข M- ซึ่งมีผลรวมของตัวเลขซ้ำกันเป็น N ใน C++

    ในปัญหานี้ เราได้รับตัวเลขบวกสองตัว N และ M หน้าที่ของเราคือ ค้นหาตัวเลข M-th ซึ่งผลรวมของตัวเลขซ้ำกันคือ N คำอธิบายปัญหา: ในที่นี้ เราต้องหาเลข M ที่ผลรวมของหลักจนผลรวมกลายเป็นหลักเดียวเท่ากับ N มาดูตัวอย่างเพื่อทำความเข้าใจปัญหากัน ป้อนข้อมูล: N =4 M =6 ผลลัพธ์: 49 แนวทางการแก้ปัญหา วิธีแ

  13. ค้นหาค่าที่น้อยที่สุดในลำดับที่ m ในอาร์เรย์ที่เรียงลำดับ k ใน C++

    ในปัญหานี้ เราได้รับ k อาร์เรย์ที่มีขนาดต่างกัน งานของเราคือ หาค่าที่น้อยที่สุดเป็นอันดับที่ m ในอาร์เรย์ที่เรียงลำดับ k คำอธิบายปัญหา: ที่นี่ เราต้องหาองค์ประกอบที่เล็กที่สุดเป็นอันดับที่ m ของอาร์เรย์ที่ผสานของอาร์เรย์ k ทั้งหมด มาดูตัวอย่างเพื่อทำความเข้าใจปัญหากัน ป้อนข้อมูล: ม =4 arr[][

  14. ค้นหาผลบวกที่ m ของจำนวนธรรมชาติ n ตัวแรกใน C++

    ในปัญหานี้ เราได้รับจำนวนเต็มสองจำนวน m และ n งานของเราคือ หาผลบวกที่ m ของจำนวนธรรมชาติ n ตัวแรก คำอธิบายปัญหา: เราจะหาผลรวมของจำนวนธรรมชาติ n ตัว m ครั้ง ผลรวมถูกกำหนดโดยสูตร 1), ผลรวม(n, m) =ผลรวม( ผลรวม(n, (m-1)), 1 ) ถ้า (ม =1) sum(n, m) =sum(n, 1) =ผลรวมของ n จำนวนธรรมชาติ มาดูตัวอย่

  15. ค้นหาจำนวนตรรกยะสูงสุดสองจำนวนใน C++

    ในปัญหานี้ เราได้รับ จำนวนตรรกยะ . งานของเราคือ หาจำนวนตรรกยะสูงสุดสองตัว ในที่นี้ จำนวนตรรกยะอยู่ในรูป p/q มาดูตัวอย่างเพื่อทำความเข้าใจปัญหากัน ป้อนข้อมูล: rat1 =5/4, rat2 =3/2 ผลลัพธ์: 3/2 คำอธิบาย: 5/4 =1.25 3/2 =1.5 แนวทางการแก้ปัญหา - วิธีแก้ปัญหาง่ายๆ คือการใช้วิธีการแบบเดียวกับท

  16. ค้นหาสูงสุด (หรือต่ำสุด) ใน Binary Tree ใน C ++

    ในปัญหานี้ เราได้รับไบนารีทรี งานของเราคือ ค้นหาสูงสุด (หรือต่ำสุด) ในไบนารีทรี คำอธิบายปัญหา: เราจำเป็นต้องค้นหาโหนดของไบนารีทรีที่มีค่าสูงสุดและต่ำสุดในไบนารีทรี มาดูตัวอย่างเพื่อทำความเข้าใจปัญหากัน ป้อนข้อมูล: ผลลัพธ์: สูงสุด =9 , ต่ำสุด =1 แนวทางการแก้ปัญหา เราต้องหาโหนดสูงสุดของ

  17. ค้นหาผลรวมสูงสุด (หรือต่ำสุด) ของอาร์เรย์ย่อยขนาด k ใน C++

    ในปัญหานี้ เราได้รับอาร์เรย์ arr[] และตัวเลข k งานของเราคือ ค้นหาผลรวมสูงสุด (หรือต่ำสุด) ของอาร์เรย์ย่อยขนาด k มาดูตัวอย่างเพื่อทำความเข้าใจปัญหากัน ป้อนข้อมูล: arr[] ={55, 43, 12, 76, 89, 25, 99} , k =2 ผลลัพธ์: 165 คำอธิบาย: อาร์เรย์ย่อยของขนาด 2 มีผลรวม =76 + 89 =165 แนวทางการแก้ปัญหา

  18. ค้นหาโหนดสูงสุดใน Binary Tree ใน C++

    ในปัญหานี้ เราได้รับ Binary Tree งานของเราคือ ค้นหาโหนดที่เหมาะสมที่สุดใน Binary Tree คำอธิบายปัญหา: ที่นี่ เราต้องหาค่าสูงสุดจากโหนดย่อยที่ถูกต้องทั้งหมดของไบนารีทรี มาดูตัวอย่างเพื่อทำความเข้าใจปัญหากัน ป้อนข้อมูล: ผลลัพธ์: 9 คำอธิบาย: โหนดที่ถูกต้องทั้งหมดคือ:{2, 8, 9} สูงสุดคือ

  19. ค้นหาค่าสูงสุดระหว่าง x^(y^2) หรือ y^(x^2) โดยที่ x และ y ให้ไว้ใน C++

    ในปัญหานี้ เราได้รับค่า x และ y สองค่า งานของเราคือ หาค่าสูงสุดระหว่าง x^(y^2) หรือ y^(x^2) โดยที่ x และ y จะได้รับ มาดูตัวอย่างเพื่อทำความเข้าใจปัญหากัน ป้อนข้อมูล: x =4, y =3 ผลลัพธ์: 3^(4^2) คำอธิบาย: x^(y^2) =4^(3^2) =4^9 =262144 y^(x^2) =3^(4^2) =3^16 =43046721 แนวทางการแก้ปัญหา วิ

  20. ค้นหาอาร์เรย์ย่อยเฉลี่ยสูงสุดของความยาว k ใน C++

    ในปัญหานี้ เราได้รับอาร์เรย์ arr[] ขนาด n ซึ่งประกอบด้วยค่าบวกและค่าลบ และจำนวนเต็ม k งานของเราคือ ค้นหาอาร์เรย์ย่อยเฉลี่ยสูงสุดของความยาว k มาดูตัวอย่างเพื่อทำความเข้าใจปัญหากัน ป้อนข้อมูล: arr[] ={4, -1, 5, 6, -2, 4} k =3 ผลลัพธ์: 10 คำอธิบาย: อาร์เรย์ย่อยของขนาด 3 ที่มีผลรวมสูงสุดคือ -1

Total 6007 -คอมพิวเตอร์  FirstPage PreviousPage NextPage LastPage CurrentPage:248/301  20-คอมพิวเตอร์/Page Goto:1 242 243 244 245 246 247 248 249 250 251 252 253 254