Computer >> บทช่วยสอนคอมพิวเตอร์ >  >> การเขียนโปรแกรม >> C++
C++
  1. แบ่งสตริงเป็น N ส่วนเท่า ๆ กันใน C++ Program

    ในบทช่วยสอนนี้ เราจะเขียนโปรแกรมที่แบ่งสตริงที่กำหนดออกเป็น N ส่วนเท่าๆ กัน หากเราไม่สามารถแบ่งสตริงออกเป็น N ส่วนเท่า ๆ กัน ให้พิมพ์สิ่งเดียวกัน มาดูขั้นตอนการแก้ปัญหากัน เริ่มต้นสตริงและ N. ค้นหาความยาวของสตริงโดยใช้ ขนาด วิธีการ ตรวจสอบว่าสตริงสามารถแบ่งออกเป็นส่วน N ได้หรือไม่ หากสต

  2. แบ่งทุกองค์ประกอบของอาร์เรย์หนึ่งด้วยองค์ประกอบอาร์เรย์อื่นใน C++ Program

    ในบทช่วยสอนนี้ เราจะเขียนโปรแกรมที่แบ่งองค์ประกอบหนึ่งอาร์เรย์ด้วยองค์ประกอบอื่น ต่อไปนี้ เรากำลังทำตามวิธีง่ายๆ ในการแก้ปัญหา มาดูขั้นตอนการแก้ปัญหากัน เริ่มต้นสองอาร์เรย์ วนซ้ำในอาร์เรย์ที่สองและค้นหาผลคูณขององค์ประกอบ วนซ้ำในอาร์เรย์แรกและแบ่งแต่ละองค์ประกอบด้วยผลคูณขององค์ประกอบอาร์เรย

  3. หารตัวเลขจำนวนมากที่แสดงเป็นสตริงใน C++ Program

    ในบทช่วยสอนนี้ เราจะเรียนรู้วิธีหารตัวเลขจำนวนมากที่แสดงเป็นสตริง เราได้ให้จำนวนมากในรูปแบบสตริงและตัวหาร โปรแกรมของเราน่าจะหาข้อเตือนใจได้ อันดับแรก เราจะหาส่วนของตัวเลขที่ให้มาซึ่งมากกว่าเงินปันผล จากนั้นเราจะบวกตัวเลขที่เหลือทีละตัวในตัวหาร มาดูขั้นตอนการแก้ปัญหากัน เริ่มต้นจำนวนมากพร้อมกับ

  4. แบ่งตัวเลขออกเป็นสองส่วนที่หารด้วยตัวเลขที่กำหนดในโปรแกรม C++

    ในบทช่วยสอนนี้ เราจะเขียนโปรแกรมที่แบ่งตัวเลขออกเป็นสองส่วนที่หารด้วยตัวเลขที่กำหนดได้ เราได้ให้ตัวเลขในรูปแบบสตริงและจำนวนเต็มอีกสองจำนวน โปรแกรมควรส่งคืนว่าสามารถแบ่งหมายเลขที่กำหนดออกเป็นสองส่วนได้หรือไม่ โดยที่ส่วนแรกหารด้วยตัวเลขแรกลงตัว และส่วนที่สองหารด้วยส่วนที่สองลงตัวหรือไม่ มาดูขั้นตอนก

  5. แบ่งรายการเชื่อมโยงที่กำหนดเป็นสองรายการของอัตราส่วนขนาด p:q ใน C++ Program

    ในบทช่วยสอนนี้ เราจะเขียนโปรแกรมที่แบ่งรายการเชื่อมโยงที่กำหนดออกเป็นอัตราส่วน p:q มันเป็นโปรแกรมตรงไปตรงมา มาดูขั้นตอนการแก้ปัญหากัน สร้างโครงสร้างสำหรับโหนดรายการที่เชื่อมโยง เริ่มต้นรายการที่เชื่อมโยงด้วยข้อมูลจำลอง เริ่มต้นอัตราส่วน p:q ค้นหาความยาวของรายการที่เชื่อมโยง หากความยา

  6. หารด้วย 12 สำหรับจำนวนมากใน C++ Program

    ในบทช่วยสอนนี้ เราจะเขียนโปรแกรมที่ตรวจสอบว่าตัวเลขจำนวนมากที่ระบุในรูปแบบสตริงหารด้วย 12 ลงตัวหรือไม่ เราจะใช้คณิตศาสตร์เล็กน้อยเพื่อแก้ปัญหานี้ หากตัวเลขหารด้วย 3 กับ 4 ลงตัว ตัวเลขนั้นก็จะหารด้วย 12 ลงตัว ตัวเลขหารด้วย 3 ลงตัวถ้าผลรวมของหลักหารด้วย 3 ลงตัว ตัวเลขหารด้วย 4 ลงตัวถ้าตัวเลขสองหลัก

  7. หารด้วย 64 พร้อมการลบบิตที่อนุญาตใน C++ Program

    ในบทช่วยสอนนี้ เราจะเขียนโปรแกรมที่ตรวจสอบว่าเลขฐานสองที่ให้มานั้นหารด้วย 64 ลงตัวหรือไม่ เราได้ให้เลขฐานสองและเราสามารถเอาบิตออกเพื่อให้หารด้วย 64 ลงตัว หลังจากลบบิตแล้ว หากตัวเลขนั้นหารด้วย 64 ลงตัว ให้พิมพ์ ใช่ อย่างอื่น ไม่ . วิธีการที่เราจะใช้นั้นง่ายมาก มาดูขั้นตอนการแก้ปัญหากัน เริ่มต้นเ

  8. หารด้วย 37 สำหรับตัวเลขจำนวนมากในโปรแกรม C++

    ในบทช่วยสอนนี้ เราจะเขียนโปรแกรมที่ตรวจสอบว่าจำนวนมากที่กำหนดนั้นหารด้วย 37 ลงตัวหรือไม่ เราจะใช้คณิตศาสตร์เล็กน้อยที่นี่ มาดูขั้นตอนการแก้ปัญหากัน เริ่มต้นหมายเลข หากความยาวของตัวเลขที่ระบุหารด้วย 3 ไม่ลงตัว ให้เพิ่มศูนย์ที่จุดเริ่มต้นของตัวเลขเพื่อให้ความยาวหารด้วย 3 ลงตัว แบ่งตัวเลขออกเ

  9. หารโดยไม่ต้องใช้ตัวดำเนินการ '/' ในโปรแกรม C++

    ในบทช่วยสอนนี้ เราจะเรียนรู้วิธีหารตัวเลขโดยไม่ต้องใช้ตัวดำเนินการหาร (/) เราได้ให้ตัวเลขสองตัว โปรแกรมควรส่งคืนผลหารของการดำเนินการหาร เราจะใช้ตัวดำเนินการลบ (-) สำหรับการหาร มาดูขั้นตอนการแก้ปัญหากัน เริ่มต้นการจ่ายเงินปันผลและตัวหาร หากตัวเลขเป็นศูนย์ ให้คืนค่า 0 เก็บว่าผลลัพธ์จะเป็นล

  10. ตัวหารของ n-square ที่ไม่ใช่ตัวหารของ n ใน C++ Program

    ในบทช่วยสอนนี้ เราจะเขียนโปรแกรมที่หาจำนวนตัวหารของ n-square ไม่ใช่ n เป็นปัญหาตรงไปตรงมา มาดูขั้นตอนการแก้ปัญหากัน เริ่มต้นหมายเลข n. เริ่มต้นตัวนับสำหรับตัวหาร วนซ้ำจาก 2 ถึง n^2n2 หาก n^2n2 หารด้วยจำนวนปัจจุบันและ nn ไม่หารด้วยจำนวนปัจจุบัน ให้เพิ่มจำนวนขึ้น พิมพ์จำนวน ตัวอย

  11. Double Base Palindrome ในโปรแกรม C++

    ในบทช่วยสอนนี้ เราจะเขียนโปรแกรมที่ตรวจสอบว่าตัวเลขที่ระบุนั้นเป็นพาลินโดรมในระบบตัวเลขสองระบบหรือไม่ เราได้ให้ตัวเลขและฐานสำหรับระบบตัวเลขอื่น เราต้องตรวจสอบว่าตัวเลขที่กำหนดเป็นพาลินโดรมในระบบเลขฐานสิบและระบบตัวเลขที่กำหนดหรือไม่ มาดูขั้นตอนการแก้ปัญหากัน เริ่มต้นฐานระบบตัวเลขและตัวเลข ตรว

  12. คิวลำดับความสำคัญสิ้นสุดสองเท่าในโปรแกรม C++

    ในบทช่วยสอนนี้ เราจะสร้างคิวลำดับความสำคัญแบบดับเบิ้ลเอนด์โดยใช้ชุดใน c++ มาดูขั้นตอนการสร้างคิวดับเบิ้ลเอนด์กัน สร้างโครงสร้างด้วยชื่อตามที่คุณต้องการ สร้างตัวแปรสำหรับคิวโดยใช้ชุด ขนาด เมธอดที่คืนค่าขนาดของคิว ว่างเปล่า วิธีที่ส่งคืนว่าคิวว่างหรือไม่ แทรก วิธีการแทรกองค์ประกอบใหม่ล

  13. เพิ่มองค์ประกอบแรกเป็นสองเท่าและย้ายศูนย์ไปที่จุดสิ้นสุดใน C++ Program

    ในบทช่วยสอนนี้ เราจะเขียนโปรแกรมที่เพิ่มองค์ประกอบแรกเป็นสองเท่าและย้ายศูนย์ทั้งหมดไปที่จุดสิ้นสุดของอาร์เรย์ที่กำหนด เราต้องเพิ่มตัวเลขเป็นสองเท่าเมื่อมีการลากองค์ประกอบเดียวกันในดัชนีที่อยู่ติดกัน หลังจากนั้นเราต้องบวกศูนย์ในอาร์เรย์ ย้ายศูนย์ทั้งหมดในอาร์เรย์ไปที่จุดสิ้นสุด ตัวอย่าง มาดูโค้ดกั

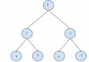
  14. Double Tree พร้อมตัวอย่างในโปรแกรม C++

    ในบทช่วยสอนนี้ เราจะเรียนรู้วิธีเพิ่มต้นไม้ที่กำหนดเป็นสองเท่า มาดูขั้นตอนการแก้ปัญหากัน สร้างคลาสโหนด เริ่มต้นต้นไม้ด้วยข้อมูลจำลอง เขียนฟังก์ชันเรียกซ้ำเพื่อเพิ่มต้นไม้เป็นสองเท่า ลัดเลาะผ่านต้นไม้ซ้ำๆ เก็บโหนดด้านซ้ายไว้ในตัวแปร หลังจากสำรวจแล้ว ให้เพิ่มข้อมูลโดยการสร้างโหนดใหม

  15. สร้างรายการเชื่อมโยงจากสองรายการที่เชื่อมโยงโดยเลือกองค์ประกอบสูงสุดในแต่ละตำแหน่งใน C++ Program

    ในบทช่วยสอนนี้ เราจะเขียนโปรแกรมที่สร้างรายการเชื่อมโยงใหม่จากรายการเชื่อมโยงที่กำหนด เราได้ให้รายการที่เชื่อมโยงสองรายการที่มีขนาดเท่ากัน และเราต้องสร้างรายการที่เชื่อมโยงใหม่จากรายการที่เชื่อมโยงทั้งสองรายการด้วยจำนวนสูงสุดจากรายการที่เชื่อมโยงทั้งสองรายการ มาดูขั้นตอนการแก้ปัญหากัน เขียนโหนด

  16. สร้างมิเรอร์ทรีจากไบนารีทรีที่กำหนดในโปรแกรม C++

    ในบทช่วยสอนนี้ เราจะสะท้อนถึงไบนารีทรีที่กำหนด มาดูขั้นตอนการแก้ปัญหากัน เขียนโหนดโครงสร้าง สร้างไบนารีทรีด้วยข้อมูลจำลอง เขียนฟังก์ชันแบบเรียกซ้ำเพื่อค้นหามิเรอร์ของไบนารีทรีที่กำหนด เรียกใช้ฟังก์ชันซ้ำด้วยโหนดซ้ายและขวา สลับข้อมูลโหนดด้านซ้ายกับข้อมูลโหนดที่ถูกต้อง พิมพ์ต้นไม้

  17. สร้างสตริงใหม่โดยการรวมอักขระสองส่วนของสตริงกลับด้านใน C++ Program

    ในบทช่วยสอนนี้ เราจะเขียนโปรแกรมที่สร้างสตริงใหม่โดยสลับอักขระของสองส่วนของสตริงในลำดับที่กลับกัน มาดูขั้นตอนการแก้ปัญหากัน เริ่มต้นสตริง หาความยาวของสตริง เก็บดัชนีสตริงครึ่งแรกและครึ่งหลัง วนซ้ำจากจุดสิ้นสุดของสองส่วนของสตริง เพิ่มอักขระแต่ละตัวในสตริงใหม่ พิมพ์สตริงใหม่ ตัว

  18. สร้างรายการที่เชื่อมโยงจากอาร์เรย์ที่กำหนดใน C++ Program

    ในบทช่วยสอนนี้ เราจะเรียนรู้วิธีสร้างรายการที่เชื่อมโยงจากอาร์เรย์ที่กำหนด มาดูขั้นตอนการแก้ปัญหากัน เริ่มต้นอาร์เรย์ด้วยข้อมูลจำลอง เขียนโหนดโครงสร้าง วนซ้ำบนอาร์เรย์ สร้างโหนดใหม่ด้วยข้อมูล แทรกโหนดใหม่ลงในรายการที่เชื่อมโยง พิมพ์รายการที่เชื่อมโยง ตัวอย่าง มาดูโค้ดกันเลย #

  19. สร้างรายการเชื่อมโยงใหม่จากรายการเชื่อมโยงที่กำหนดสองรายการพร้อมองค์ประกอบที่มากกว่าในแต่ละโหนดใน C++ Program

    ในบทช่วยสอนนี้ เราจะเขียนโปรแกรมที่สร้างรายการเชื่อมโยงใหม่จากรายการเชื่อมโยงที่กำหนด เราได้ให้รายการที่เชื่อมโยงสองรายการที่มีขนาดเท่ากัน และเราต้องสร้างรายการที่เชื่อมโยงใหม่จากรายการที่เชื่อมโยงทั้งสองรายการด้วยจำนวนสูงสุดจากรายการที่เชื่อมโยงทั้งสองรายการ มาดูขั้นตอนการแก้ปัญหากัน เขียนโหนด

  20. จำนวนสตริงย่อย Palindromic ในช่วงดัชนีใน C++

    เราได้รับสตริงและช่วงที่เริ่มต้นตั้งแต่ต้นจนจบ และภารกิจคือการคำนวณจำนวนสตริงย่อย palindromic ที่มีอยู่ในช่วงที่กำหนด สตริง Palindrome เป็นสตริงที่คล้ายคลึงกันจากไปข้างหน้าและข้างหลังของสตริงเช่น nitin, aba เป็นต้น ตัวอย่าง อินพุต - InputString =cccaabbbdee, start =2, end =6; ผลลัพธ์ - จำนวนสตริ

Total 6007 -คอมพิวเตอร์  FirstPage PreviousPage NextPage LastPage CurrentPage:251/301  20-คอมพิวเตอร์/Page Goto:1 245 246 247 248 249 250 251 252 253 254 255 256 257