ที่นี่เราจะเห็นพื้นที่ของวงกลมที่สลักเป็นรูปสี่เหลี่ยมขนมเปียกปูน เส้นทแยงมุมของรูปสี่เหลี่ยมขนมเปียกปูนคือ 'a' และ 'b' รัศมีของวงกลมคือ h

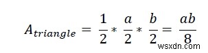
เส้นทแยงมุมสองเส้นกำลังสร้างสามเหลี่ยมที่เท่ากันสี่รูป สามเหลี่ยมแต่ละรูปเป็นรูปสามเหลี่ยมมุมฉาก ดังนั้น พื้นที่ของรูปสามเหลี่ยมจึงเป็น −

สี่เหลี่ยมขนมเปียกปูนแต่ละด้านคือด้านตรงข้ามมุมฉาก −

ดังนั้น พื้นที่ของวงกลมคือ −

ตัวอย่าง
#include <iostream>
#include <cmath>
using namespace std;
float area(float a, float b) {
if (a < 0 || b < 0) //if the values are negative it is invalid
return -1;
float area = (3.1415 * (a*b * a*b))/(4 * (a*a + b*b));
return area;
}
int main() {
float a = 8, b= 10;
cout << "Area is: " << area(a, b);
} ผลลัพธ์
Area is: 30.6488