ที่นี่เราจะเห็นพื้นที่ของสามเหลี่ยม Reuleaux ที่ใหญ่ที่สุดที่จารึกไว้ภายในสี่เหลี่ยมจัตุรัสนั้นสี่เหลี่ยมนั้นถูกจารึกไว้ในวงกลมเดียว ด้านข้างของสี่เหลี่ยมคือ 'a' รัศมีของวงกลมคือ 'r' ดังที่เราทราบเส้นทแยงมุมของสี่เหลี่ยมจัตุรัสคือเส้นผ่านศูนย์กลางของวงกลม ดังนั้น −
2𝑟 = 𝑎√2 𝑎 = 𝑟√2
และความสูงของสามเหลี่ยม Reuleaux คือ h

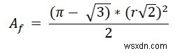
ความสูงของสามเหลี่ยม Reuleaux เท่ากับ a ดังนั้น a =h ดังนั้น พื้นที่ของสามเหลี่ยมรูลอซ์คือ −

ตัวอย่าง
#include <iostream>
#include <cmath>
using namespace std;
float areaReuleaux(float r) { //radius of ciecle is r
if (r < 0) //if a is negative it is invalid
return -1;
float area = ((3.1415 - sqrt(3)) * (r * sqrt(2)) * (r * sqrt(2)))/2;
return area;
}
int main() {
float rad = 6;
cout << "Area of Reuleaux Triangle: " << areaReuleaux(rad);
} ผลลัพธ์
Area of Reuleaux Triangle: 50.7402