Computer >> บทช่วยสอนคอมพิวเตอร์ >  >> การเขียนโปรแกรม >> C++
C++
  1. ปรับสมดุลโครงสร้างการค้นหาไบนารีใน c++

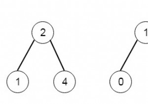
    สมมติว่าเรามีแผนผังการค้นหาแบบไบนารี เราต้องหาแผนผังการค้นหาแบบไบนารีที่สมดุลด้วยค่าโหนดเดียวกัน ต้นไม้การค้นหาแบบไบนารีมีความสมดุลก็ต่อเมื่อความลึกของทรีย่อยทั้งสองของทุกโหนดไม่เคยแตกต่างกันมากกว่า 1 หากมีมากกว่าหนึ่งผลลัพธ์ ให้ส่งคืนผลลัพธ์ใด ๆ ดังนั้นถ้าต้นไม้เป็นเหมือน − เพื่อแก้ปัญหานี้ เราจ

  2. จัดเรียงจำนวนเต็มตามค่ากำลังใน C++

    อย่างที่เราทราบดีว่ากำลังของจำนวนเต็ม x ถูกกำหนดให้เป็นจำนวนขั้นตอนที่จำเป็นในการแปลง x เป็น 1 โดยใช้ขั้นตอนต่อไปนี้ - ถ้า x เป็นคู่ x =x / 2 ถ้า x เป็นเลขคี่ x =3 * x + 1 ตัวอย่างเช่น พลังของ x =3 คือ 7 เพราะ 3 ใช้ 7 ขั้นตอนกลายเป็น 1 (3 → 10 → 5 → 16 → 8 → 4 → 2 → 1) ถ้าเรามีจำนวนเต็ม lo,

  3. ตัวหารสี่ตัวใน C++

    สมมติว่าเรามีจำนวนเต็มอาร์เรย์ เราต้องหาผลรวมของตัวหารของจำนวนเต็มในอาร์เรย์นั้นที่มีตัวหารสี่ตัวพอดี ดังนั้นหากไม่มีจำนวนเต็มดังกล่าวในอาร์เรย์ ให้คืนค่า 0 ตัวอย่างเช่น หากอินพุตเป็น [21, 4, 7] ผลลัพธ์จะเป็น 32 เนื่องจาก 21 มีตัวหารสี่ตัว 1, 3, 7, 21 4 มีตัวหารสามตัว 1, 2, 4 และ 7 มีตัวหารสองตัว 1

  4. แปลงรายการที่เรียงลำดับเป็นทรีการค้นหาแบบไบนารีใน C ++

    สมมติว่าเรามีรายการที่เชื่อมโยงกันโดยที่องค์ประกอบต่างๆ ถูกเรียงลำดับจากน้อยไปมาก เราต้องแปลงเป็น BST ที่มีความสูงสมดุล ดังนั้นหากรายการเป็นแบบ [-10, -3, 0, 5, 9] ต้นไม้ที่เป็นไปได้จะเป็นแบบ − เพื่อแก้ปัญหานี้ เราจะทำตามขั้นตอนเหล่านี้ - หากรายการว่างเปล่า ให้คืนค่า null กำหนดวิธีการเรียกซ้

  5. ย้อนกลับคำในสตริงใน C ++

    สมมติว่าเรามีสตริงที่มีคำไม่กี่คำ เราต้องกลับตำแหน่งของคำในสตริง ดังนั้นหากเชือกเป็นเหมือน “จิ้งจอกสีน้ำตาลฉูดฉาดกระโดดทับหมาขี้เกียจ” เพื่อแก้ปัญหานี้ เราจะทำตามขั้นตอนเหล่านี้ - กำหนดฟังก์ชัน getString() ซึ่งจะใช้ s เป็นอินพุต ซึ่งจะทำงานเป็น − ผม :=0, j :=ขนาดของ s – 1 ในขณะที่ s[i] =‘

  6. ตัวเลข N ใน C++

    สมมติว่าเรามีลำดับจำนวนเต็มอนันต์หนึ่งลำดับ เราต้องหาหลักที่ n ของลำดับนี้ ดังนั้นหากอินพุตเป็น 11 เอาต์พุตจะเป็น 0 เหมือนกับว่าเราใส่ตัวเลขเช่น 123456789101112 ดังนั้นหลักที่ 11 จึงเป็น 0 เพื่อแก้ปัญหานี้ เราจะทำตามขั้นตอนเหล่านี้ - len :=0 และ cnt :=9 และ start :=1 len * cnt n :=n – (len

  7. ลบ K Digits ใน C ++

    สมมติว่าเรามีจำนวนเต็มที่ไม่เป็นลบซึ่งแสดงเป็นสตริง เราต้องลบหลัก k ออกจากตัวเลขเพื่อให้ตัวเลขใหม่มีค่าน้อยที่สุด ดังนั้นหากอินพุตเป็น “1432219” และ k =3 ผลลัพธ์จะเป็น “1219” เพื่อแก้ปัญหานี้ เราจะทำตามขั้นตอนเหล่านี้ - กำหนด stack st สร้าง string ว่าง ret n :=ขนาดของ num สำหรับฉันอยู่ในช่ว

  8. ลบ K Digits ในโปรแกรม C++

    สมมุติว่าเรามีลำดับของตัวเลขเรียกว่า เลขคณิต ถ้าประกอบด้วยองค์ประกอบอย่างน้อยสามองค์ประกอบ และถ้าความแตกต่างระหว่างสององค์ประกอบที่ต่อเนื่องกันนั้นเหมือนกัน ตัวอย่างเช่น นี่คือลำดับเลขคณิต:[1, 3, 5, 7, 9], [7, 7, 7, 7], [3, -1, -5, -9] แต่ลำดับต่อไปนี้ไม่ใช่ เลขคณิต [1, 1, 2, 5, 7] ตอนนี้ให้อาร์เรย

  9. การติดตั้งหน้าจอประโยคใน C++

    สมมติว่าเรามีหน้าจอแถว x cols และประโยคที่แสดงโดยรายการคำที่ไม่เว้นว่างไว้ ดังนั้นเราต้องค้นหาว่าประโยคที่กำหนดนั้นสามารถติดตั้งบนหน้าจอได้กี่ครั้ง มีคุณสมบัติบางอย่าง - คำจะไม่ถูกแบ่งออกเป็นสองบรรทัด ต้องไม่เปลี่ยนลำดับของคำในประโยค จะมีช่องว่างเพียงช่องเดียวระหว่างคำสองคำ จำนวนคำทั้งหม

  10. ค้นหาช่วงเวลาที่เหมาะสมใน C++

    สมมติว่าเรามีช่วง a สำหรับแต่ละช่วง i ให้ตรวจสอบว่ามีช่วง j ที่มีจุดเริ่มต้นมากกว่าหรือเท่ากับจุดสิ้นสุดของช่วง i หรือไม่ ซึ่งสามารถทำได้ เรียกว่า j อยู่ทาง ขวา ของ i สำหรับช่วงเวลา i ใดๆ เราต้องเก็บดัชนีช่วงเวลาต่ำสุดของ j ซึ่งระบุว่าช่วงเวลา j มีจุดเริ่มต้นต่ำสุดเพื่อสร้างความสัมพันธ์ ถูกต้อง สำหร

  11. Ternary Expression Parser ใน C ++

    สมมติว่าเรามีสตริงที่แสดงนิพจน์ ternary ที่ซ้อนกันตามอำเภอใจ เราต้องคำนวณผลลัพธ์ของนิพจน์ เราสามารถสรุปได้ว่านิพจน์ที่ให้มานั้นถูกต้องและประกอบด้วยตัวเลข 0-9 เท่านั้น ?, :, T และ F อักขระสองสามตัวเหล่านี้ (ในที่นี้ T และ F แทน True และ False ตามลำดับ) มีคุณสมบัติบางอย่าง - ความยาวของสตริงที่กำหนด

  12. 132 รูปแบบใน C++

    สมมติว่าเรามีลำดับของจำนวนเต็ม n a1, a2, ..., an, รูปแบบ 132 เป็นลำดับรองลงมา ai, aj, ak เช่นว่า i

  13. ฉันสามารถชนะใน C ++

    สมมุติว่าในเกมที่ชื่อว่า 100 เกม ผู้เล่นสองคนผลัดกันบวกกับจำนวนเต็มใดๆ จาก 1 ถึง 10 ผู้เล่นที่ทำให้ยอดรวมวิ่งเป็นคนแรกหรือ เกิน 100 เขา / เธอชนะ แล้วถ้าเราเปลี่ยนเกมไม่ให้ผู้เล่นใช้จำนวนเต็มซ้ำล่ะ =100 ดังนั้น สมมติว่าให้จำนวนเต็ม maxChoosableInteger และจำนวนเต็มอื่นที่ต้องการ ให้พิจารณาว่าผู้เล่นค

  14. สตริงย่อยที่ไม่ซ้ำใน Wraparound String ใน C ++

    ตอนนี้เรามีอีกสตริง p งานของเราคือค้นหาว่ามีสตริงย่อยที่ไม่ว่างที่ไม่ซ้ำกันของ p กี่รายการใน s โดยเฉพาะอย่างยิ่ง อินพุตของเราคือสตริง p และเราจำเป็นต้องส่งออกจำนวนสตริงย่อยที่ไม่ว่างที่แตกต่างกันของ p ในสตริง s ดังนั้นหากอินพุตเป็นเหมือน zab เอาต์พุตจะเป็น 6 มีสตริงย่อย z, a, b, za, ab, zab ของสตริ

  15. รูปหลายเหลี่ยมนูนในภาษา C++

    สมมติว่าเรามีรายการจุดที่เป็นรูปหลายเหลี่ยมเมื่อเชื่อมติดกันตามลำดับ เราต้องค้นหาว่ารูปหลายเหลี่ยมนี้นูนหรือไม่ (นิยามรูปหลายเหลี่ยมนูน) เราต้องจำไว้ว่ามีอย่างน้อย 3 และสูงสุด 10,000 คะแนน และพิกัดอยู่ในช่วง -10,000 ถึง 10,000 เราสามารถสมมติได้ว่ารูปหลายเหลี่ยมที่เกิดจากจุดที่กำหนดให้เป็นรูปหลายเหล

  16. ก่อนและหลังปริศนาใน C++

    สมมติว่าเรามีรายการวลี ให้สร้างรายการปริศนาก่อนและหลัง วลีนี้เป็นสตริงที่ประกอบด้วยตัวพิมพ์เล็กและช่องว่างเท่านั้น จะไม่มีที่ว่างในตำแหน่งเริ่มต้นและสิ้นสุด ไม่มีการเว้นวรรคติดต่อกันในวลี ปริศนาก่อนและหลังเป็นวลีที่เกิดขึ้นจากการรวมสองวลีเข้าด้วยกันโดยที่คำสุดท้ายของวลีแรกเหมือนกับคำแรกของวลีที่สอง

  17. ระยะทางที่สั้นที่สุดไปยังสีเป้าหมายใน C++

    สมมติว่าเรามีสีอาร์เรย์ซึ่งมีสามสี:1, 2 และ 3 เราได้ให้แบบสอบถามบางอย่าง การสืบค้นแต่ละครั้งประกอบด้วยจำนวนเต็ม i และ c สองจำนวน เราต้องหาระยะทางที่สั้นที่สุดระหว่างดัชนี i ที่กำหนดและสีเป้าหมาย c หากไม่มีวิธีแก้ปัญหา ให้คืนค่า -1 ดังนั้นหากอาร์เรย์สีเป็นเหมือน [1,1,2,1,3,2,2,3,3] และอาร์เรย์การสืบค

  18. ย้อนกลับสตริงย่อยระหว่างวงเล็บแต่ละคู่ใน C++

    สมมติว่าเรามีสตริงที่ประกอบด้วยตัวพิมพ์เล็กและวงเล็บ เราต้องกลับสตริงในวงเล็บที่ตรงกันแต่ละคู่โดยเริ่มจากวงในสุด และผลลัพธ์ไม่ควรมีวงเล็บ ดังนั้นหากอินพุตเป็นเหมือน (hel(lowo)rld) ผลลัพธ์จะเป็น dlrlowoleh ดังนั้นจากจุดเริ่มต้นจะเปลี่ยนเป็น:(hel(lowo)rld) → (helowolrld) → “ดลโรโวเลห์”. เพื่อแก้ปัญหา

  19. อัศวินขั้นต่ำย้ายใน C ++

    สมมติว่าเรามีกระดานหมากรุกที่ไม่มีที่สิ้นสุดพร้อมพิกัดจาก -infinity ถึง +infinity และเรามีอัศวินอยู่ที่จัตุรัส [0, 0] อัศวินสามารถเคลื่อนไหวได้ 8 ท่าดังที่แสดงด้านล่าง การเคลื่อนไหวแต่ละครั้งคือสองช่องสี่เหลี่ยมในทิศทางที่สำคัญ จากนั้นหนึ่งช่องในทิศทางตั้งฉาก เราต้องหาจำนวนขั้นขั้นต่ำที่จำเป็นในก

  20. ค้นหาองค์ประกอบทั่วไปที่เล็กที่สุดในทุกแถวใน C++

    สมมติว่าเรามีเมทริกซ์แมทที่ทุกแถวเรียงตามลำดับที่ไม่ลดลง เราต้องหาองค์ประกอบทั่วไปที่เล็กที่สุดในแถวทั้งหมด หากไม่มีองค์ประกอบร่วม ให้คืนค่า -1 ดังนั้นหากเมทริกซ์เป็นเหมือน − 1 2 3 4 5 2 4 5 8 10 3 5 7 9 11 1 3 5 7 9 ผลลัพธ์จะเป็น 5 เพื่อแก้ปัญหานี้ เราจะทำตามขั้นตอนเหล่านี้ - กำหนดแผนที่

Total 6007 -คอมพิวเตอร์  FirstPage PreviousPage NextPage LastPage CurrentPage:152/301  20-คอมพิวเตอร์/Page Goto:1 146 147 148 149 150 151 152 153 154 155 156 157 158