Computer >> บทช่วยสอนคอมพิวเตอร์ >  >> การเขียนโปรแกรม >> C++
C++
  1. โปรแกรม C ++ เพื่อเชื่อมสองสตริง

    สตริงคืออาร์เรย์อักขระหนึ่งมิติที่สิ้นสุดโดยอักขระ null การต่อกันของสองสตริงเป็นการรวมกันเพื่อสร้างสตริงใหม่ ตัวอย่างเช่น String 1: Mangoes are String 2: tasty Concatenation of 2 strings: Mangoes are tasty มีโปรแกรมสำหรับเชื่อมสองสตริงดังนี้ ตัวอย่าง #include <iostream> using namespace std; i

  2. โปรแกรม C++ เพื่อคัดลอกสตริง

    สตริงคืออาร์เรย์อักขระหนึ่งมิติที่สิ้นสุดโดยอักขระ null ค่าของสตริงสามารถคัดลอกไปยังสตริงอื่นได้ ซึ่งสามารถทำได้โดยใช้ฟังก์ชัน strcpy() ซึ่งเป็นฟังก์ชันไลบรารีมาตรฐานหรือไม่ใช้ก็ได้ โปรแกรมสำหรับคัดลอกสตริงโดยไม่ใช้ฟังก์ชัน strcpy() มีดังนี้ - ตัวอย่าง #include <iostream> using namespace std;

  3. โปรแกรม C++ เพื่อลบอักขระทั้งหมดในสตริงยกเว้นตัวอักษร

    สตริงคืออาร์เรย์อักขระหนึ่งมิติที่สิ้นสุดโดยอักขระ null อาจมีอักขระ ตัวเลข สัญลักษณ์พิเศษ เป็นต้น โปรแกรมลบอักขระทั้งหมดในสตริง ยกเว้น ตัวอักษร มีดังต่อไปนี้ ตัวอย่าง #include <iostream> using namespace std; int main() {    char str[100] = "String@123!!";    int

  4. โปรแกรม C++ แปลงเลขฐานสิบเป็น Octal

    ในระบบคอมพิวเตอร์ เลขฐานแปดจะแสดงในระบบเลขฐานแปดในขณะที่เลขฐานสิบอยู่ในระบบเลขฐานสิบ เลขฐานแปดอยู่ในฐาน 8 ในขณะที่เลขฐานสิบอยู่ในฐาน 10 ตัวอย่างของเลขฐานสิบและเลขฐานแปดที่เกี่ยวข้องมีดังนี้ เลขทศนิยม เลขฐานแปด 8 10 70 106 25 31 7 7 โปรแกรมที่แปลงเลขฐานสิบเป็นฐานแปดมีดังนี้ ตัวอย่าง #includ

  5. โปรแกรม C++ เพื่อค้นหาความถี่ของอักขระในสตริง

    สตริงคืออาร์เรย์อักขระหนึ่งมิติที่สิ้นสุดโดยอักขระ null ความถี่ของอักขระในสตริงคือจำนวนครั้งที่เกิดขึ้นในสตริง ตัวอย่างเช่น − String: Football is a sport The frequency of alphabet o in the above string is 3 โปรแกรมหาความถี่ของตัวอักษรแต่ละตัวมีดังต่อไปนี้ ตัวอย่าง #include <iostream> using na

  6. โปรแกรม C++ เพื่อค้นหาแฟกทอเรียลของตัวเลขโดยใช้การวนซ้ำ

    แฟกทอเรียลของจำนวนเต็มที่ไม่เป็นลบ n คือผลคูณของจำนวนเต็มบวกทั้งหมดที่น้อยกว่าหรือเท่ากับ n ตัวอย่างเช่น แฟคทอเรียลของ 6 คือ 720 6! = 6 * 5 * 4 * 3 * 2 *1 6! = 720 แฟคทอเรียลของจำนวนเต็มสามารถพบได้โดยใช้โปรแกรมแบบเรียกซ้ำหรือโปรแกรมแบบวนซ้ำ A for loop สามารถใช้เพื่อค้นหาแฟกทอเรียลของตัวเลขโดยใช้โ

  7. โปรแกรม C++ เพื่อค้นหาแฟกทอเรียลของตัวเลขโดยใช้การเรียกซ้ำ

    แฟกทอเรียลของจำนวนเต็มที่ไม่เป็นลบ n คือผลคูณของจำนวนเต็มบวกทั้งหมดที่น้อยกว่าหรือเท่ากับ n ตัวอย่างเช่น แฟกทอเรียลของ 4 คือ 24 4! = 4 * 3 * 2 *1 4! = 24 แฟคทอเรียลของจำนวนเต็มสามารถพบได้โดยใช้โปรแกรมแบบเรียกซ้ำหรือโปรแกรมแบบวนซ้ำ โปรแกรมต่อไปนี้สาธิตโปรแกรมแบบเรียกซ้ำเพื่อค้นหาแฟกทอเรียลของตัวเล

  8. โปรแกรม C++ เพื่อทำการคูณเมทริกซ์

    เมทริกซ์คืออาร์เรย์ของตัวเลขสี่เหลี่ยมที่จัดเรียงในรูปแบบของแถวและคอลัมน์ ตัวอย่างของเมทริกซ์มีดังนี้ เมทริกซ์ 3*2 มี 3 แถวและ 2 คอลัมน์ดังแสดงด้านล่าง - 8 1 4 9 5 6 โปรแกรมทำการคูณเมทริกซ์มีดังนี้ ตัวอย่าง #include<iostream> using namespace std; int main() {    int product[10][10

  9. โปรแกรม C++ เช็คว่าเป็น Sparse Matrix

    เมทริกซ์กระจัดกระจายเป็นเมทริกซ์ที่องค์ประกอบส่วนใหญ่เป็น 0 กล่าวอีกนัยหนึ่งถ้าองค์ประกอบมากกว่าครึ่งหนึ่งในเมทริกซ์เป็น 0 ก็จะเรียกว่าเมทริกซ์กระจัดกระจาย ตัวอย่างเช่น − เมทริกซ์ที่ระบุด้านล่างมีศูนย์ 5 ตัว เนื่องจากจำนวนศูนย์มีมากกว่าครึ่งหนึ่งขององค์ประกอบของเมทริกซ์ จึงเป็นเมทริกซ์แบบกระจาย 1 0

  10. โปรแกรม C++ เพื่อคำนวณค่าเบี่ยงเบนมาตรฐาน

    ส่วนเบี่ยงเบนมาตรฐานคือการวัดการกระจายของตัวเลขในข้อมูล คือรากที่สองของความแปรปรวน โดยที่ความแปรปรวนคือค่าเฉลี่ยของผลต่างกำลังสองจากค่าเฉลี่ย มีโปรแกรมคำนวณค่าเบี่ยงเบนมาตรฐานดังนี้ ตัวอย่าง #include <iostream> #include <cmath> using namespace std; int main() {    float val[5]

  11. โปรแกรม C++ สำหรับจัดเก็บและแสดงข้อมูลโดยใช้โครงสร้าง

    โครงสร้างคือชุดของรายการประเภทข้อมูลต่างๆ มีประโยชน์มากในการสร้างโครงสร้างข้อมูลที่ซับซ้อนด้วยเร็กคอร์ดประเภทข้อมูลที่แตกต่างกัน โครงสร้างถูกกำหนดด้วยคีย์เวิร์ด struct ตัวอย่างของโครงสร้างมีดังนี้ − struct employee {    int empID;    char name[50];    float salary; };

  12. โปรแกรม C++ เพื่อคูณเมทริกซ์สองตัวโดยส่งเมทริกซ์ไปยังฟังก์ชัน

    เมทริกซ์คืออาร์เรย์ของตัวเลขสี่เหลี่ยมที่จัดเรียงในรูปแบบของแถวและคอลัมน์ ตัวอย่างของเมทริกซ์มีดังนี้ เมทริกซ์ 3*4 มี 3 แถว 4 คอลัมน์ดังแสดงด้านล่าง 8 6 3 5 7 1 9 2 5 1 9 8 โปรแกรมที่คูณเมทริกซ์สองตัวด้วยการส่งเมทริกซ์ไปยังฟังก์ชันมีดังนี้ ตัวอย่าง #include<iostream> using namespace std; vo

  13. โปรแกรม C ++ ตรวจสอบว่าเมทริกซ์เป็น Invertible หรือไม่

    ดีเทอร์มีแนนต์ของเมทริกซ์สามารถใช้เพื่อค้นหาว่าอินเวอร์ทิเบิลหรือไม่ เมทริกซ์จะกลับด้านได้หากดีเทอร์มีแนนต์ไม่ใช่ศูนย์ ดังนั้นหากดีเทอร์มีแนนต์ออกมาเป็นศูนย์ เมทริกซ์จะไม่สามารถกลับด้านได้ ตัวอย่างเช่น − The given matrix is: 4 2 1 2 1 1 9 3 2 The determinant of the above matrix is: 3 So the matrix

  14. โปรแกรม C++ เพื่อคำนวณดีเทอร์มิแนนต์ของเมทริกซ์

    ดีเทอร์มีแนนต์ของเมทริกซ์สี่เหลี่ยมจัตุรัสสามารถคำนวณได้โดยใช้ค่าองค์ประกอบ ดีเทอร์มีแนนต์ของเมทริกซ์ A สามารถแสดงเป็น det(A) และสามารถเรียกได้ว่าเป็นปัจจัยสเกลของการแปลงเชิงเส้นที่อธิบายโดยเมทริกซ์ในเรขาคณิต ตัวอย่างของดีเทอร์มีแนนต์ของเมทริกซ์มีดังนี้ The matrix is: 3 1 2 7 The determinant of the

  15. โปรแกรม C++ เพื่อตรวจสอบการคูณของเมทริกซ์สองตัว

    เมทริกซ์สองตัวถูกกล่าวว่าสามารถคูณกันได้ถ้าสามารถคูณกันได้ สิ่งนี้เป็นไปได้ก็ต่อเมื่อจำนวนคอลัมน์ของเมทริกซ์แรกเท่ากับจำนวนแถวของเมทริกซ์ที่สอง ตัวอย่างเช่น Number of rows in Matrix 1 = 3 Number of columns in Matrix 1 = 2 Number of rows in Matrix 2 = 2 Number of columns in Matrix 2 = 5 Matrix 1 an

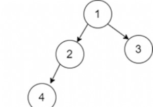
  16. โปรแกรม C++ เพื่อดำเนินการสั่งจองล่วงหน้าแบบเรียกซ้ำของต้นไม้ไบนารีที่ให้มา

    การข้ามต้นไม้เป็นรูปแบบหนึ่งของการข้ามผ่านกราฟ มันเกี่ยวข้องกับการตรวจสอบหรือพิมพ์แต่ละโหนดในทรีเพียงครั้งเดียว การข้ามผ่านของการสั่งซื้อล่วงหน้าของทรีการค้นหาแบบไบนารีเกี่ยวข้องกับการเยี่ยมชมแต่ละโหนดในทรีตามลำดับ (ราก ซ้าย ขวา) ตัวอย่างการสั่งผ่านแบบพรีออร์เดอร์ของไบนารีทรีมีดังนี้ ต้นไม้ไบนารีจ

  17. โปรแกรม C++ เพื่อดำเนินการข้ามซ้ำแบบ Inorder ของต้นไม้ไบนารีที่ให้มา

    การข้ามต้นไม้เป็นรูปแบบหนึ่งของการข้ามผ่านกราฟ มันเกี่ยวข้องกับการตรวจสอบหรือพิมพ์แต่ละโหนดในทรีเพียงครั้งเดียว การข้ามผ่านที่ไม่เป็นระเบียบของทรีการค้นหาแบบไบนารีเกี่ยวข้องกับการเยี่ยมชมแต่ละโหนดในทรีตามลำดับ (ซ้าย รูท ขวา) ตัวอย่างของ Inorder traversal ของไบนารีทรีมีดังนี้ ต้นไม้ไบนารีจะได้รับดั

  18. โปรแกรม C++ เพื่อดำเนินการ Postorder Recursive Traversal ของ Binary Tree ที่ให้มา

    การข้ามต้นไม้เป็นรูปแบบหนึ่งของการข้ามผ่านกราฟ มันเกี่ยวข้องกับการตรวจสอบหรือพิมพ์แต่ละโหนดในทรีเพียงครั้งเดียว การข้ามผ่านหลังลำดับของทรีการค้นหาแบบไบนารีเกี่ยวข้องกับการเยี่ยมชมแต่ละโหนดในทรีตามลำดับ (ซ้าย ขวา รูท) ตัวอย่างของการข้ามผ่านหลังการสั่งซื้อของไบนารีทรีมีดังนี้ ต้นไม้ไบนารีจะได้รับดัง

  19. โปรแกรม C++ เพื่อจัดเรียงอาร์เรย์ 10 องค์ประกอบโดยใช้ Heap Sort Algorithm

    การเรียงลำดับฮีปขึ้นอยู่กับโครงสร้างข้อมูลไบนารีฮีป ในไบนารีฮีป โหนดย่อยของโหนดหลักมีขนาดเล็กกว่าหรือเท่ากับในกรณีของฮีปสูงสุด และโหนดย่อยของโหนดหลักจะมากกว่าหรือเท่ากับในกรณีของฮีปขั้นต่ำ ตัวอย่างที่อธิบายขั้นตอนทั้งหมดใน Heap Sort มีดังนี้ อาร์เรย์ดั้งเดิมที่มี 10 องค์ประกอบก่อนการเรียงลำดับคือ

  20. โปรแกรม C++ เพื่อค้นหาแฟกทอเรียลของตัวเลขโดยใช้ Dynamic Programming

    แฟกทอเรียลของจำนวนเต็มบวก n เท่ากับ 1*2*3*...n ไม่มีแฟกทอเรียลของจำนวนลบ ที่นี่ให้โปรแกรม C++ เพื่อค้นหาแฟคทอเรียลของอินพุตที่กำหนดโดยใช้การเขียนโปรแกรมแบบไดนามิก อัลกอริทึม Begin    fact(int n):       Read the number n       Initialize       i

Total 6007 -คอมพิวเตอร์  FirstPage PreviousPage NextPage LastPage CurrentPage:18/301  20-คอมพิวเตอร์/Page Goto:1 12 13 14 15 16 17 18 19 20 21 22 23 24