Computer >> บทช่วยสอนคอมพิวเตอร์ >  >> การเขียนโปรแกรม >> C++
C++
  1. วิธีแยกรายการเชื่อมโยงที่กำหนดใน C ++

    รายการที่เชื่อมโยงเป็นโครงสร้างข้อมูลเชิงเส้นซึ่งแต่ละโหนดมีสองบล็อก โดยที่หนึ่งบล็อกมีค่าหรือข้อมูลของโหนด และอีกบล็อกหนึ่งมีที่อยู่ของฟิลด์ถัดไป สมมติว่าเรามีรายการที่เชื่อมโยงซึ่งแต่ละโหนดมีข้อมูลและตัวชี้ซึ่งชี้ไปยังโหนดถัดไปของรายการที่เชื่อมโยง งานคือการแยกรายการเชื่อมโยงที่กำหนด การแยกรายการ

  2. เขียนโปรแกรมในภาษา C++ เพื่อแยกสองสตริงให้เป็น palindrome

    สตริงจะเรียกว่าสตริงพาลินโดรมหากมันยังคงเหมือนเดิมหลังจากย้อนกลับ ในปัญหาเฉพาะนี้ เราได้ให้สตริง a และ b สองสตริงที่มีความยาวเท่ากัน หากถูกแบ่งด้วยดัชนีบางรายการ ภารกิจคือตรวจสอบว่าผลรวมของสตริงสร้างพาลินโดรมหรือไม่ สมมติว่าเรามีสตริง a และ b สองสตริงที่มีความยาว 4 และหลังจากแยกสตริงทั้งสองที่ดัชน

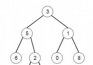
  3. ต้นไม้สมมาตรใน C++

    สมมุติว่าเรามีไบนารีทรีและงานคือตรวจสอบว่าสร้างสมมาตรของตัวมันเองหรือไม่ ต้นไม้ไบนารีสมมาตรสร้างภาพสะท้อนของตัวเอง ตัวอย่าง อินพุต-1: ผลลัพธ์: True คำอธิบาย: เนื่องจากไบนารีทรีที่กำหนดจะสร้างภาพสะท้อนของตัวมันเอง ผลลัพธ์ที่ได้จึงเป็น True อินพุต-2: ผลลัพธ์: False คำอธิบาย:

  4. ความแตกต่างระหว่าง C # และ C++

    เรามาเรียนรู้เกี่ยวกับ C# และ C++ กันก่อน - C# เป็นภาษาโปรแกรมเชิงวัตถุทั่วไป ถือว่าเป็นภาษาการเขียนโปรแกรมเชิงวัตถุอย่างแท้จริง ออกเสียงว่า ซี ชาร์ป ได้รับการพัฒนาโดย Anders Hejlsberg และทีมงานของเขาที่ Microsoft การจัดการหน่วยความจำทำโดยอัตโนมัติโดยตัวรวบรวมขยะ เป็นหน้าที่ของภาษาที่จะลบวัตถุโดยอั

  5. ความแตกต่างระหว่างวัตถุและคลาสใน C ++

    ในบทความนี้ เราจะเข้าใจความแตกต่างระหว่างอ็อบเจกต์และคลาสที่เกี่ยวกับภาษาการเขียนโปรแกรม C++ คลาสในภาษา C++ เป็นหน่วยการสร้างของโค้ดใน C++ ที่ช่วยปรับใช้การเขียนโปรแกรมเชิงวัตถุ เป็นประเภทที่กำหนดโดยผู้ใช้ มีข้อมูลสมาชิกและฟังก์ชันสมาชิกของตัวเอง เข้าถึงข้อมูลสมาชิกและฟังก์ชันของสมาชิกได้โดยการสร้า

  6. OpenCV คืออะไร?

    OpenCV ย่อมาจาก วิสัยทัศน์คอมพิวเตอร์โอเพ่นซอร์ส . สร้างขึ้นเพื่อรองรับโครงสร้างพื้นฐานทั่วไปสำหรับการดำเนินการวิชันซิสเต็มและใช้พฤติกรรมของระบบในผลิตภัณฑ์ทางการเงิน โดยทั่วไปจะกำหนดเป้าหมายการประมวลผลภาพ การจดจำใบหน้า การจับภาพวิดีโอ การค้นหา และการเปิดเผยวัตถุ OpenCV ถูกสร้างขึ้นเพื่อใช้ในการดำเน

  7. จะติดตั้ง OpenCV สำหรับ C ++ ใน Windows ได้อย่างไร?

    มีสามขั้นตอนในการติดตั้ง OpenCV ซึ่งมีดังนี้ - ดาวน์โหลดซอฟต์แวร์ที่จำเป็นทั้งหมดและติดตั้ง กำลังประมวลผล OpenCV สำหรับ Visual Studio การเชื่อมโยง OpenCV กับ Visual Studio ให้เรากำหนดขั้นตอนเหล่านี้ทีละรายการ ขั้นตอนที่ 1 - การดาวน์โหลดและติดตั้งซอฟต์แวร์ที่จำเป็น เราจะใช้ OpenCV ใน Microsoft Vi

  8. จะโหลดและแสดงรูปภาพใน OpenCV โดยใช้ C ++ ได้อย่างไร

    ในหัวข้อนี้ เราจะกำหนดวิธีการโหลดและแสดงรูปภาพโดยใช้ OpenCV ใน C++ มีฟังก์ชันต่อไปนี้ที่จำเป็นสำหรับการโหลดและแสดงรูปภาพใน OpenCV แมท: Mat ไม่ใช่ฟังก์ชัน เป็นโครงสร้างข้อมูล ชนิดของตัวแปร เช่นเดียวกับประเภทตัวแปร int, char, string ใน C ++ Mat เป็นตัวแปรของ OpenCV ซึ่งสร้างโครงสร้างข้อมูลเมทริกซ์เพ

  9. จะบันทึกรูปภาพใน OpenCV โดยใช้ C ++ ได้อย่างไร

    ที่นี่ เราจะเข้าใจวิธีการบันทึกอิมเมจ OpenCV ไปยังตำแหน่งใดๆ บนคอมพิวเตอร์ของคุณ OpenCV ให้ imwrite() ฟังก์ชั่นบันทึกภาพไปยังไฟล์ที่ระบุ นามสกุลไฟล์แสดงถึงรูปแบบภาพ รูปแบบที่แท้จริงของฟังก์ชันคือ − imwrite("Destination/Name of the image with extension", Source Matrix) ที่นี่ ปลายทาง คือ

  10. Image Array คืออะไร? อธิบายด้วยตัวอย่างในภาษา C++

    อาร์เรย์เป็นวิธีที่สะดวกในการจัดเก็บและดึงข้อมูลการรวบรวมข้อมูล ใน OpenCV เราสามารถใช้แนวคิดนี้เพื่อโหลดภาพหลายภาพในอาร์เรย์ภาพและแสดงโดยใช้หมายเลขดัชนีของอาร์เรย์ โปรแกรมต่อไปนี้โหลดหลายภาพในอาร์เรย์เมทริกซ์และแสดงภาพของอาร์เรย์ที่เรียกโดยหมายเลขดัชนี ตัวอย่าง #include<iostream> #include<

  11. จะคำนวณจำนวนช่องของรูปภาพใน OpenCV โดยใช้ C ++ ได้อย่างไร

    ในหัวข้อนี้ เราจะเข้าใจวิธีค้นหาจำนวนช่องของรูปภาพ หลังจากรันโปรแกรม หมายเลขช่องจะแสดงในหน้าต่างคอนโซล เพื่อให้ได้จำนวนช่อง เราได้ใช้คลาสของ OpenCV ชื่อ channels() เมื่อเราส่งเมทริกซ์รูปภาพเป็นออบเจ็กต์ของคลาส channels() มันจะทำให้แชนเนลเป็นค่าจำนวนเต็ม โปรแกรมต่อไปนี้นับจำนวนช่องและแสดงในหน้าต่าง

  12. จะแบ่งภาพออกเป็นช่องต่าง ๆ ใน OpenCV โดยใช้ C ++ ได้อย่างไร

    ภาพ RGB มีสามช่องสัญญาณ ได้แก่ สีแดง สีเขียว และสีน้ำเงิน พื้นที่สีที่ช่องสีแดง สีเขียว และสีน้ำเงินแทนภาพเรียกว่าปริภูมิสี RGB ใน OpenCV จะใช้ลำดับ BGR แทน RGB ซึ่งหมายความว่าช่องแรกเป็นสีน้ำเงิน ช่องที่สองเป็นสีเขียว และช่องที่สามเป็นสีแดง ในการแบ่งภาพ RGB ออกเป็นแชนเนลต่างๆ เราต้องกำหนดเมทริกซ์ 3

  13. จะแปลงช่องว่างสีใน OpenCV โดยใช้ C ++ ได้อย่างไร

    พื้นที่สีเป็นแบบจำลองของการแสดงสี มีหลายวิธีในการอธิบายสี เช่น RGB, CYMK, HSV, โทนสีเทา เป็นต้น ที่นี่ เราใช้ส่วนหัวใหม่ชื่อ imgproc.hpp imgproc.hpp . นี้ เป็นตัวย่อของการประมวลผลภาพ ในการแปลงปริภูมิสี เราจำเป็นต้องใช้ cvtColor() การทำงานของ OpenCV ฟังก์ชันนี้กำหนดไว้ใน imgproc ไฟล์ส่วนหัว เราจึงร

  14. จะสร้างภาพไบนารีใน OpenCV โดยใช้ C ++ ได้อย่างไร

    ภาพไบนารีเป็นเพียงภาพดิจิทัลที่แสดงสองสีคือขาวดำ จากมุมมองของการประมวลผลภาพ ภาพไบนารีประกอบด้วยพิกเซลที่มีค่าที่เป็นไปได้สองค่า - ศูนย์และหนึ่ง เมื่อค่าของพิกเซลเป็น 0 แสดงว่าเป็นสีดำล้วน เมื่อค่าของพิกเซลเท่ากับ 1 แสดงว่าเป็นสีขาวบริสุทธิ์ ในภาพระดับสีเทา มีค่าที่เป็นไปได้ที่แตกต่างกัน 256 ค่าสำหร

  15. จะกลับภาพไบนารีใน OpenCV โดยใช้ C ++ ได้อย่างไร

    การกลับภาพไบนารีหมายถึงการกลับค่าพิกเซล จากมุมมองของภาพ เมื่อเรากลับภาพไบนารี พิกเซลสีขาวจะถูกแปลงเป็นสีดำ และพิกเซลสีดำจะถูกแปลงเป็นสีขาว รูปแบบพื้นฐานของฟังก์ชันนี้คือ − cvtColor(original_image, grayscale_image, COLOR_BGR2GRAY); บรรทัดถัดไปคือการแปลงรูปภาพระดับสีเทาเป็นรูปภาพไบนารีและจัดเก็บรูปภ

  16. จะอ่านค่าพิกเซลของอิมเมจช่องสัญญาณเดียวใน OpenCV โดยใช้ C ++ ได้อย่างไร

    ภาพดิจิทัลประกอบด้วยพิกเซล การใช้ OpenCV ทำให้ง่ายต่อการอ่านค่าของพิกเซล อย่างไรก็ตาม หากต้องการได้ค่าพิกเซล เราต้องแยกช่องสัญญาณแยกกัน ที่นี่เรากำลังโหลดรูปภาพในเมทริกซ์ชื่อ cimage จากนั้นมันจะแปลงรูปภาพโดยใช้ cvtColor(cimage, img, COLOR_BGR2GRAY); และเก็บไว้ในเมทริกซ์ชื่อ img โปรแกรมต่อไปนี้จะ

  17. วิธีการวาดเส้นใน OpenCV โดยใช้ C ++?

    ในการลากเส้นเราต้องการสองจุด - จุดเริ่มต้นและจุดสิ้นสุด นอกจากนี้เรายังต้องการผ้าใบเพื่อวาดเส้น การใช้ OpenCV ซึ่งเป็นเมทริกซ์ในแคนวาส เราต้องกำหนดจุดเริ่มต้นและจุดสิ้นสุดของบรรทัด เราต้องกำหนดสีให้กับเส้นด้วย ต้องอธิบายความหนาของเส้นด้วย หากเราต้องการวาดเส้นโดยใช้ OpenCV เราจำเป็นต้องประกาศเมทริกซ

  18. วิธีการวาดวงกลมใน OpenCV โดยใช้ C ++?

    วงกลมมีจุดศูนย์กลางและรัศมี ในการวาดวงกลมโดยใช้ OpenCV เราต้องกำหนดจุดศูนย์กลางและรัศมี ใน OpenCV เราต้องรวม ส่วนหัวเนื่องจากมีการกำหนดฟังก์ชัน circle() ในส่วนหัวนี้ ไวยากรณ์พื้นฐานของวิธีนี้มีดังนี้ − ไวยากรณ์ circle(whiteMatrix, center,radius, line_Color, thickness); โปรแกรมต่อไปนี้แสดงวิธีการว

  19. วิธีการวาดวงรีใน OpenCV โดยใช้ C ++?

    ในการวาดวงรี เราจำเป็นต้องมีศูนย์กลาง แกนหลัก และแกนรอง นั่นหมายความว่าเราต้องการพารามิเตอร์สามตัวสำหรับวงรี เราต้องการเมทริกซ์ที่เราจะวาดวงรี และเราจำเป็นต้องประกาศความหนาของเส้นและสีของเส้น เมื่อเราต้องการวาดวงรีโดยใช้ OpenCV เราต้องพูดถึงมุมของการหมุน และมีพารามิเตอร์เพิ่มเติมสองจุดเริ่มต้นและจุ

  20. วิธีการวาดสี่เหลี่ยมผืนผ้าใน OpenCV โดยใช้ C ++?

    ในการวาดรูปสี่เหลี่ยมผืนผ้า เราต้องการสี่จุด ดูรูปต่อไปนี้ ในรูป มีสี่จุด x1, x2, y1 และ y2 สี่จุดเหล่านี้สร้างสี่พิกัด ในการวาดรูปสี่เหลี่ยมผืนผ้าโดยใช้ OpenCV เราต้องกำหนดจุดเหล่านี้และแสดงสี่เหลี่ยมที่เราต้องการเมทริกซ์ เราต้องประกาศค่าที่เกี่ยวข้องอื่นๆ เช่น สีของเส้นและความกว้างของเส้น ไวยา

Total 6007 -คอมพิวเตอร์  FirstPage PreviousPage NextPage LastPage CurrentPage:257/301  20-คอมพิวเตอร์/Page Goto:1 251 252 253 254 255 256 257 258 259 260 261 262 263