Computer >> บทช่วยสอนคอมพิวเตอร์ >  >> การเขียนโปรแกรม >> C++
C++
  1. ผลรวมสูงสุดที่เพิ่มขึ้นตามลำดับโดยใช้ไบนารีทรีดัชนีในโปรแกรม C ++

    ในปัญหานี้ เราได้รับอาร์เรย์ arr[] ของจำนวนเต็ม n ตัว งานของเราคือสร้างโปรแกรมเพื่อค้นหาผลรวมที่เพิ่มขึ้นตามลำดับโดยใช้ทรีดัชนีไบนารีใน C ++ คำอธิบายปัญหา − เราจำเป็นต้องค้นหาลำดับที่เพิ่มมากขึ้นด้วยผลรวมสูงสุดโดยใช้องค์ประกอบของอาร์เรย์ กำลังเพิ่มขึ้น − ลำดับรองซึ่งค่าขององค์ประกอบปัจจุบันมากกว่า

  2. ผลรวมสูงสุดขององค์ประกอบการสั่งซื้อที่เพิ่มขึ้นจาก n อาร์เรย์ในโปรแกรม C++

    ในปัญหานี้ เราได้รับเมทริกซ์ 2 มิติขนาด nXm งานของเราคือสร้างโปรแกรมเพื่อค้นหาผลรวมสูงสุดของการเพิ่มองค์ประกอบลำดับจาก n อาร์เรย์ คำอธิบายโปรแกรม − ในที่นี้ เราจำเป็นต้องหาผลรวมสูงสุดขององค์ประกอบโดยนำองค์ประกอบหนึ่งรายการจากแต่ละแถวในลักษณะที่องค์ประกอบจากแถวที่ ith มีค่าน้อยกว่าองค์ประกอบจากแถวที

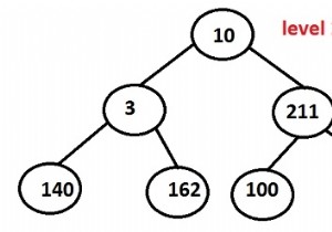
  3. ผลรวมสูงสุดของโหนดในทรีไบนารี โดยที่ไม่มีสองโหนดอยู่ติดกันโดยใช้ Dynamic Programming ในโปรแกรม C++

    ในปัญหานี้ เราจะได้รับ Binary Tree โดยที่แต่ละโหนดมีค่า หน้าที่ของเราคือสร้างโปรแกรมเพื่อค้นหาผลรวมสูงสุดของโหนดใน Binarytree เพื่อไม่ให้มีสองตัวอยู่ติดกัน โดยใช้ Dynamic Programming คำอธิบายปัญหา − เราจะเลือกชุดย่อยของไบนารีทรีเพื่อให้ผลรวมสูงสุดในลักษณะที่โหนดไม่ได้เชื่อมต่อโดยตรง มาดูตัวอย่างเพ

  4. ผลรวมสูงสุดของคู่ที่มีความแตกต่างเฉพาะโปรแกรม C++

    ในปัญหานี้ เราได้รับอาร์เรย์ arr[] ของจำนวนเต็ม n ตัวและตัวเลข d หน้าที่ของเราคือสร้างโปรแกรมเพื่อค้นหาผลรวมสูงสุดของคู่ที่มีความแตกต่างใน c++ . คำอธิบายปัญหา − เราจะหาคู่ในลักษณะที่ความแตกต่างขององค์ประกอบของคู่มีค่าน้อยกว่า d ผลรวมของคู่ดังกล่าวทั้งหมดควรสูงสุด มาดูตัวอย่างเพื่อทำความเข้าใจปัญหา

  5. ผลรวมสูงสุดของผลคูณคู่ในอาร์เรย์ที่มีค่าลบที่อนุญาตในโปรแกรม C++

    ในปัญหานี้ เราได้รับอาร์เรย์ arr[] ที่มีค่าจำนวนเต็ม n ค่า (อนุญาตให้ใช้ค่าลบ) งานของเราคือสร้างโปรแกรมเพื่อค้นหาผลรวมสูงสุดของผลิตภัณฑ์แบบคู่ในอาร์เรย์ที่อนุญาตให้มีค่าลบ คำอธิบายปัญหา − เราจำเป็นต้องสร้างคู่โดยใช้องค์ประกอบของอาร์เรย์เพื่อให้ผลรวมของผลิตภัณฑ์ขององค์ประกอบของคู่มีค่าสูงสุด มาดูตั

  6. ผลรวมสูงสุดของค่าที่น้อยที่สุดและน้อยที่สุดเป็นอันดับสองในอาร์เรย์ในโปรแกรม C++

    ในปัญหานี้ เราได้รับอาร์เรย์ arr[] งานของเราคือสร้างโปรแกรมเพื่อค้นหาผลรวมสูงสุดของค่าที่น้อยที่สุดและน้อยที่สุดเป็นอันดับสองในอาร์เรย์ คำอธิบายปัญหา − เราจำเป็นต้องหาผลรวมขององค์ประกอบที่เล็กที่สุดและน้อยที่สุดเป็นอันดับสองของ subarray ผลรวมของอาร์เรย์ และคืนค่าสูงสุดของผลรวมของ subarray ดังกล่าวท

  7. ผลรวมสูงสุดของผลิตภัณฑ์สองอาร์เรย์ในโปรแกรม C++

    ในปัญหานี้ เราได้รับอาร์เรย์สองอาร์เรย์ arr1[] และ arr2[] ขนาด n งานของเราคือสร้างโปรแกรมเพื่อค้นหาผลรวมสูงสุดของสองอาร์เรย์ คำอธิบายปัญหา − เราจำเป็นต้องหาผลรวมสูงสุดของผลิตภัณฑ์ของสองอาร์เรย์ เราจำเป็นต้องหาผลรวมสูงสุดของผลคูณขององค์ประกอบหนึ่งจาก arr1 และองค์ประกอบอื่นๆ จาก arr2 มาดูตัวอย่างเพื

  8. เส้นทางผลรวมสูงสุดในเมทริกซ์จากบนลงล่างและย้อนกลับในโปรแกรม C++

    ในปัญหานี้ เราได้รับเมทริกซ์ mat[][] ขนาด nXm งานของเราคือสร้างโปรแกรมเพื่อค้นหาเส้นทางผลรวมสูงสุดในเมทริกซ์จากบนลงล่างและด้านหลัง คำอธิบายปัญหา − เราจำเป็นต้องหาผลรวมเส้นทางสูงสุดจากซ้ายบนไปล่างขวาแล้วย้อนกลับ ท่าที่ถูกต้อง From mat[0][0] to mat[n−1][m−1]: Right (mat[i][j] to mat[i][j+

  9. ผลรวมสูงสุดที่เป็นไปได้สำหรับลำดับย่อยที่ไม่มีองค์ประกอบสองรายการปรากฏที่ระยะทาง <K ในอาร์เรย์ในโปรแกรม C ++

    ในปัญหานี้ เราจะได้รับอาร์เรย์ arr[] ขนาด n และจำนวนเต็ม k งานของเราคือสร้างโปรแกรมเพื่อค้นหาผลรวมสูงสุดที่เป็นไปได้สำหรับลำดับย่อย เพื่อไม่ให้มีองค์ประกอบสองรายการปรากฏที่ระยะห่าง

  10. อาร์เรย์ย่อยผลรวมสูงสุดที่ค่าเริ่มต้นและสิ้นสุดจะเหมือนกันใน C++ Program

    ในปัญหานี้ เราได้รับอาร์เรย์ arr[] ขนาด n ซึ่งประกอบด้วยค่าบวก งานของเราคือสร้างโปรแกรมเพื่อค้นหาผลรวมของ subarray สูงสุดซึ่งค่าเริ่มต้นและสิ้นสุดจะเท่ากัน คำอธิบายปัญหา − ที่นี่ เราจำเป็นต้องค้นหาอาร์เรย์ย่อยที่องค์ประกอบที่ดัชนี i (ดัชนีเริ่มต้นของ subarray) และ j (ดัชนีสิ้นสุดของ subarray) เหมือ

  11. ผลรวมสูงสุดที่ตามมาด้วยองค์ประกอบที่อยู่ห่างไกลอย่างน้อย k ในโปรแกรม C++

    ในปัญหานี้ เราจะได้รับอาร์เรย์ arr[] ขนาด n และตัวเลข k งานของเราคือการสร้างโปรแกรมเพื่อค้นหาผลรวมสูงสุดที่มีองค์ประกอบที่อยู่ห่างไกลอย่างน้อยที่สุด คำอธิบายปัญหา − เราจำเป็นต้องหาผลรวมของอาร์เรย์ย่อยเพื่อให้องค์ประกอบของอาร์เรย์ย่อยดึงมาจากอาร์เรย์ที่มีดัชนีอยู่ที่ระยะ k และผลรวมจะถูกขยายให้ใหญ่สุ

  12. ผลรวมสูงสุดที่ไม่มีองค์ประกอบสองตัวที่อยู่ติดกันวิธีอื่นในโปรแกรม C ++

    ในปัญหานี้ เราได้รับอาร์เรย์ arr[] ขนาด n ซึ่งประกอบด้วยค่าบวก หน้าที่ของเราคือสร้างโปรแกรมเพื่อค้นหาผลรวมสูงสุดในลักษณะที่ไม่มีองค์ประกอบที่ต่อเนื่องกันสององค์ประกอบในอาร์เรย์ คำอธิบายปัญหา − เราจำเป็นต้องหาผลรวมของ subarray ที่มีองค์ประกอบของอาร์เรย์ แต่ไม่มีองค์ประกอบที่อยู่ติดกัน 2 ตัวของอาร์เร

  13. ความแตกต่างของน้ำหนักสูงสุดในโปรแกรม C++

    ในปัญหานี้ เราได้รับอาร์เรย์ arr[] และตัวเลข M หน้าที่ของเราคือสร้างโปรแกรมเพื่อคำนวณความแตกต่างของน้ำหนักสูงสุดใน C++ คำอธิบายปัญหา We will find M elements from the array such that the absolute difference between the sum and the sum of the rest elements is maximum. มาดูตัวอย่างเพื่อทำความเข้าใจปัญ

  14. โปรแกรมแสดงเลขทศนิยมจากการแสดงจำนวนตรรกยะในภาษา C++

    สมมติว่าเรามีตัวเลขสองตัวที่เรียกว่าตัวเศษและตัวส่วนแทนจำนวนตรรกยะในรูปแบบ (ตัวเศษ / ตัวส่วน) เราต้องหาการแสดงทศนิยมเป็นสตริง หากมีตัวเลขซ้ำๆ ให้ใส่วงเล็บเหลี่ยม ดังนั้น หากอินพุตเหมือนกับตัวเศษ =164 ตัวส่วน =3 ผลลัพธ์จะเป็น 54.(6) เพื่อแก้ปัญหานี้ เราจะทำตามขั้นตอนเหล่านี้ - ถ้าตัวเศษเหมือนกับ 0

  15. โปรแกรมรับการดำเนินการเพื่อแปลงสตริงหนึ่งเป็นสตริงอื่นใน C++

    สมมติว่าเรามีสตริง S และ T สองสตริง เราต้องหาลำดับการดำเนินการที่สั้นที่สุดที่เปลี่ยนจาก S เป็น T โดยพื้นฐานแล้วการดำเนินการจะเป็นการลบหรือแทรกอักขระ ดังนั้น หากอินพุตเป็น S =xxxy T =xxyy ผลลัพธ์จะเป็น [x, x, -x, y, +y] หมายถึงสถานที่ x สองตัวแรก จากนั้นลบ x ตัวที่ 3 แล้ววาง y แล้วเพิ่ม y ใหม่ เพื

  16. โปรแกรมตรวจสอบว่าผู้เล่นคนแรกสามารถชนะเกมที่ผู้เล่นสามารถสร้าง string char by char ใน C++ . ได้หรือไม่

    สมมติว่าเรามีรายการคำ ตอนนี้ให้พิจารณาเกมผีที่ผู้เล่นสองคนสามารถเข้าร่วมได้ ที่นี่ผู้เล่นสลับตัวอักษรต่อท้ายสตริง และสตริงที่ทำขึ้นต้องเป็นคำนำหน้าที่ถูกต้องของคำในรายการ และผู้เล่นที่สะกดคำในรายการจะแพ้ เราต้องเช็คก่อนว่าผู้เล่นคนแรกจะชนะหรือไม่ถ้าผู้เล่นทั้งคู่เล่นได้อย่างเต็มประสิทธิภาพ ดังนั้นห

  17. โปรแกรมนับจำนวนการสืบค้นที่เป็นจริงในกราฟที่มีเส้นทางแบบถ่วงน้ำหนักใน C++

    สมมติว่าเรามีรายการขอบสำหรับกราฟที่ไม่มีทิศทาง โดยแต่ละขอบมีฟิลด์ [u, v, w] u และ v คือจุดยอดต้นทางและปลายทาง และ w คือน้ำหนัก และยังมีรายการแบบสอบถามในรูปแบบเดียวกัน [u, v, w] นั่นแสดงถึงคำถามว่า มีเส้นทางระหว่าง u และ v หรือไม่ โดยที่ขอบแต่ละด้านในเส้นทางมีน้ำหนักมากที่สุด w ดังนั้นจงหาจำนวนคำถามท

  18. โปรแกรมค้นหาจำนวนพินขั้นต่ำที่ต้องแขวนแบนเนอร์ทั้งหมดใน C++

    สมมติว่าเรามีรายการช่วงเวลาของแบบฟอร์ม [เริ่ม สิ้นสุด] ซึ่งแสดงถึงจุดเริ่มต้นและจุดสิ้นสุดของแบนเนอร์ที่เราต้องการแขวน ต้องมีพินอย่างน้อยหนึ่งพินเพื่อแขวนแบนเนอร์ และหนึ่งพินสามารถแขวนแบนเนอร์ได้มากกว่าหนึ่งครั้ง เราต้องหาพินให้น้อยที่สุดเพื่อแขวนแบนเนอร์ทั้งหมด ดังนั้น ถ้าอินพุตเหมือนช่วง =[[2, 5]

  19. โปรแกรมค้นหาที่อยู่ IP ที่เป็นไปได้ทั้งหมดหลังจากการคืนค่าใน C++

    สมมติว่าเรามีสตริงที่มีตัวเลขเท่านั้น เราต้องกู้คืนโดยสร้างชุดค่าผสมที่อยู่ IP ที่เป็นไปได้ทั้งหมด เรารู้ว่าที่อยู่ IP ที่ถูกต้องประกอบด้วยจำนวนเต็มสี่จำนวน (แต่ละจำนวนเต็มอยู่ในช่วง 0 ถึง 255) คั่นด้วยสัญลักษณ์จุดเดียว ดังนั้น หากอินพุตเป็นเหมือน ip =25525511136 ผลลัพธ์จะเป็น [254.25.40.123, 254.2

  20. โปรแกรมค้นหาผลรวมของความยากลำบากขั้นต่ำในการทำงานให้เสร็จภายใน k วันใน C++

    สมมติว่าเรามีรายการตัวเลขที่เรียกว่างานและอีกค่าหนึ่งคือ k ตอนนี้เราต้องการทำงานทั้งหมดให้เสร็จภายใน k วันที่ต่างกัน งานจะต้องดำเนินการตามลำดับที่กำหนดและในแต่ละวันเราต้องทำงานให้เสร็จหนึ่งงาน ความยากของงาน i ถูกเก็บไว้ที่งาน[i] และความยากในการกรอกรายการงานในหนึ่งวันจะเป็นงานที่ยากที่สุดที่ทำในวันนั

Total 6007 -คอมพิวเตอร์  FirstPage PreviousPage NextPage LastPage CurrentPage:235/301  20-คอมพิวเตอร์/Page Goto:1 229 230 231 232 233 234 235 236 237 238 239 240 241