Computer >> บทช่วยสอนคอมพิวเตอร์ >  >> การเขียนโปรแกรม >> C++
C++
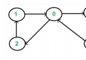
  1. โปรแกรม C++ สำหรับการแฮชด้วยการโยง

    การแฮชเป็นวิธีการที่เราสามารถแมปองค์ประกอบข้อมูลความยาวใดๆ กับคีย์ขนาดคงที่ได้ การแฮชทำงานเป็นคู่คีย์-ค่า ฟังก์ชันการแฮชคือฟังก์ชันที่ทำแผนที่ในแมปแฮช องค์ประกอบข้อมูลที่กำหนดให้เป็นอินพุตในฟังก์ชันแฮชอาจได้รับคีย์แฮชเดียวกัน ในกรณีนี้องค์ประกอบอาจทับซ้อนกัน เพื่อหลีกเลี่ยงไม่ให้องค์ประกอบที่มีแฮชค

  2. โปรแกรม C++ สำหรับส่วนย่อยทั่วไปที่ยาวที่สุด

    ลำดับที่ตามมาคือลำดับที่มีลำดับชุดขององค์ประกอบเหมือนกัน สำหรับซีเควนซ์ “stuv” ลำดับรองคือ “stu”, “tuv”, “suv”,.... เป็นต้น สำหรับสตริงที่มีความยาว n มี 2n วิธีในการสร้างลำดับต่อจากสตริง ตัวอย่าง ลำดับย่อยทั่วไปที่ยาวที่สุดสำหรับสตริง “ ABCDGH ” และ “ AEDFHR ” มีความยาว 3 #include <iostream>

  3. โปรแกรม C++ สำหรับการจัดเรียงวันที่โดยใช้ Selection Sort

    วันที่ คือ เลขวัน เดือน ปี มีหลายวิธีในการแสดงวันที่ ที่นี่ เรามีโปรแกรมสำหรับจัดเรียงวันที่โดยใช้การเรียงลำดับการเลือก เรามาเรียนรู้เกี่ยวกับสิ่งต่าง ๆ ที่ใช้ในแนวคิดนี้กันเถอะ การเรียงลำดับวันที่ แนวความคิดในการเรียงลำดับวันที่ต้องการความรู้ที่ชัดเจนและรอบรู้เกี่ยวกับวันที่และการตรวจสอบความถูกต้

  4. โปรแกรม C++ เพื่อค้นหาประเภทของตัววนซ้ำที่กำหนด

    iterator เป็นอ็อบเจ็กต์เหมือนกับตัวชี้ที่ใช้ในการวนซ้ำองค์ประกอบของคอนเทนเนอร์ ข้อได้เปรียบหลักของการใช้ตัววนซ้ำคือการสร้างอินเทอร์เฟซทั่วไปและทำให้อัลกอริธึมปลอดจากประเภทของคอนเทนเนอร์ที่ใช้ในการติดตั้ง ในไลบรารีมาตรฐาน C++ มีประเภทของตัววนซ้ำ - ตัววนซ้ำไปข้างหน้า ตัววนซ้ำสองทิศทาง ตัววนซ้ำอินพุต

  5. โปรแกรม C++ เพื่อพิมพ์วัน วันที่ และเวลาปัจจุบัน

    วัน วันที่ และเวลาปัจจุบันคือวันที่ในปฏิทินทั้งหมดที่พิมพ์บนหน้าจอ ใน c++ ctime ไลบรารี่มีเมธอดและตัวแปรทั้งหมดที่เกี่ยวข้องกับ วันที่และเวลา . คุณยังสามารถตรวจสอบรายละเอียดวันที่และเวลาปัจจุบันได้โดยใช้ไลบรารี ctime ซึ่งมีวิธีการแสดงเวลา วิธีการต่อไปนี้ใช้เพื่อแสดงรายละเอียดของวันที่และเวลา - เวล

  6. โปรแกรม C++ พิมพ์คำเฉพาะในไฟล์

    ไฟล์คือตำแหน่งหน่วยความจำที่เก็บกระแสคำ ในไฟล์มีคำต่างๆ ในโปรแกรมนี้ เราจะค้นหาคำที่ไม่ซ้ำทั้งหมดจากไฟล์และพิมพ์ออกมา มีเอกลักษณ์ word หมายถึง จำนวนครั้งของคำนั้นอยู่ในไฟล์หนึ่งคำ ตัวอย่างเช่น Tutorials point is best for programming tutorials. ที่นี่ การสอนคำศัพท์เกิดขึ้นมากกว่าหนึ่งครั้ง ดังนั้น

  7. โครงสร้างคลาสสตรีม C++

    ในสตรีม C++ หมายถึงสตรีมของอักขระที่ถ่ายโอนระหว่างเธรดของโปรแกรมและ i/o สตรีมชั้นเรียน ใน C ++ ใช้เพื่ออินพุตและเอาต์พุตการทำงานบนไฟล์และอุปกรณ์ io คลาสเหล่านี้มีคุณสมบัติเฉพาะและเพื่อจัดการกับอินพุตและเอาต์พุตของโปรแกรม iostream.h ไลบรารีมีคลาสสตรีมทั้งหมดในภาษาการเขียนโปรแกรม C++ มาดูลำดับชั้นแ

  8. C++ กับ C#

    ภาษาการเขียนโปรแกรม C++ ตัวต่อจากภาษาซีโปรแกรมที่แนะนำแนวคิดของคลาสและอ็อบเจ็กต์ สรุปคุณสมบัติของ c และภาษาระดับสูง ดังนั้นจึงสามารถใช้เป็นภาษาระดับกลางได้ เมื่อมันถูกสร้างขึ้น มันถูกคิดว่าเป็น C ที่มีคลาสเพราะมีความคล้ายคลึงกับ C. ภาษาการเขียนโปรแกรม C# C# (เรียกอีกอย่างว่า C คม) เป็นภาษาโปรแกรมเ

  9. เพิ่มตัวเลขสองตัวโดยใช้ตัวดำเนินการ ++ ใน C++

    ในการเขียนโปรแกรม ตัวดำเนินการ ++ เป็นตัวดำเนินการเพิ่มที่เพิ่มค่าของตัวถูกดำเนินการ 1 เราสามารถบวกตัวเลขสองตัวโดยใช้ตัวดำเนินการนี้โดยการเพิ่ม 1 ให้กับตัวเลข a, b จำนวนครั้ง ตัวอย่าง Input: a = 31 , b = 4 Output: 35 คำอธิบาย − บวก 1 ถึง 31 สี่ครั้ง รวมเป็น 31 +1+1+1+1 =35 อัลกอริทึม Input: two in

  10. การเพิ่มองค์ประกอบของอาร์เรย์จนกว่าทุกองค์ประกอบจะมากกว่าหรือเท่ากับ k ใน C++

    อาร์เรย์ − อาร์เรย์คือคอนเทนเนอร์ของอิลิเมนต์ที่มีประเภทข้อมูลเดียวกัน ซึ่งอิลิเมนต์จะถูกจัดทำดัชนีเป็น 0 ในปัญหานี้ เราจะใช้อาร์เรย์ของจำนวนเต็ม และตรวจสอบว่าองค์ประกอบทั้งหมดมากกว่าจำนวนที่กำหนดหรือไม่ ที่นี่เราจะตรวจสอบว่าองค์ประกอบทั้งหมดของอาร์เรย์มากกว่าหรือเท่ากับจำนวนที่กำหนด k หรือไม่ ถ้าไ

  11. การเพิ่มพหุนามสองพหุนามโดยใช้รายการที่เชื่อมโยงใน C++

    เพื่อให้เข้าใจแนวคิดนี้ดีขึ้น เรามาสรุปเนื้อหาพื้นฐานที่จำเป็นกันก่อน รายการที่เชื่อมโยง เป็นโครงสร้างข้อมูลที่จัดเก็บแต่ละองค์ประกอบเป็นวัตถุในโหนดของรายการ ทุกโน้ตจะมีข้อมูลสองส่วน han และลิงก์ไปยังโหนดถัดไป พหุนาม เป็นนิพจน์ทางคณิตศาสตร์ที่ประกอบด้วยตัวแปรและสัมประสิทธิ์ เช่น x^2 - 4x + 7 ใน ร

  12. การจัดการจุดลอยตัวของ C++

    การนำตัวเลขทศนิยมไปใช้คือจำนวนจุดทศนิยม ในภาษาโปรแกรม C++ ขนาดของ float คือ 32 บิต และมีบางฟังก์ชันการจัดการจุดลอยตัวที่ทำงานบนตัวเลขทศนิยม เราได้แนะนำฟังก์ชันการจัดการจุดลอยตัวบางส่วน fmod() ฟังก์ชัน fmod() ที่ทำงานบน floats จะคืนค่าส่วนที่เหลือของการแบ่งอาร์กิวเมนต์ที่ส่งผ่านของเมธอด ตัวอย่าง #in

  13. คำถามสัมภาษณ์ C ++ ตามคอนสตรัคเตอร์ / ตัวทำลาย

    คำถามสัมภาษณ์ C++ เกี่ยวกับ Constructors คอนสตรัคเตอร์คืออะไร คอนสตรัคเตอร์ เป็นฟังก์ชันของคลาสที่มีชื่อเดียวกับคลาส ตัวสร้างถูกเรียกในขณะที่เริ่มต้นวัตถุ คอนสตรัคเตอร์มีสามประเภท - ตัวสร้างเริ่มต้น ตัวสร้างพารามิเตอร์ คัดลอกตัวสร้าง ไวยากรณ์ class cl_name{    cl_name(){     &

  14. โปรแกรมสำหรับการแปลงเซลเซียสเป็นฟาเรนไฮต์ใน C++

    ด้วยอุณหภูมิ n ในเซลเซียส ความท้าทายคือการแปลงอุณหภูมิที่กำหนดเป็นฟาเรนไฮต์และแสดงผล ตัวอย่าง Input 1-: 100.00    Output -: 212.00 Input 2-: -40    Output-: -40 สำหรับการแปลงอุณหภูมิจากเซลเซียสเป็นฟาเรนไฮต์นั้นมีสูตรดังนี้ T(°F) =T(°C) × 9/5 + 32 โดยที่ T(°C) คืออุณหภูมิในหน่ว

  15. โปรแกรมสำหรับพื้นที่ผิวของ Dodecahedron ใน C++

    Dodecahedron คืออะไร คำว่า สิบสองหน้า มาจากคำภาษากรีกที่ dodeca หมายถึง สิบสอง และ hedron ระบุ ใบหน้า Dodecahedron ในเรขาคณิตเป็นแบบสามมิติหรือของแข็งปกติที่มีใบหน้าแบนสิบสองหน้า เช่นเดียวกับ ตัวเลขอื่นๆ สิบสองหน้าก็มีคุณสมบัติเช่นกัน − จุดยอดรูปทรงหลายเหลี่ยม 20 จุด ขอบหลายเหลี่ยม 30 ด้าน รูปห้าเ

  16. โปรแกรมพื้นที่ผิวแปดด้านในภาษา C++

    รูปแปดด้านคืออะไร คำว่า สิบสองหน้า มาจากคำภาษากรีกที่ Octa หมายถึง แปด และ hedron ระบุ ใบหน้า รูปแปดด้านในเรขาคณิตเป็นพลาโตนิกสามมิติหรือของแข็งปกติที่มีแปดหน้า เช่นเดียวกัน รูปทรงแปดเหลี่ยมอื่นๆ ก็มีคุณสมบัติเช่นกัน นั่นคือ − จุดยอดรูปทรงหลายเหลี่ยม 6 จุด 12 ขอบหลายเหลี่ยม 8 ด้านเท่ากันหมด ด้าน

  17. โปรแกรมสำหรับปริมาตรและพื้นที่ผิวของลูกบาศก์ในภาษา C++

    ลูกบาศก์คืออะไร Cube เป็นวัตถุสามมิติที่มีหน้าเหลี่ยม 6 หน้า ซึ่งหมายความว่ามีด้านยาวและกว้างเท่ากัน Cube เป็นรูปทรงหกเหลี่ยมปกติเพียงตัวเดียวที่มีคุณสมบัติดังต่อไปนี้ - หกหน้า 12 ขอบ 8 จุดยอด ด้านล่างเป็นรูปลูกบาศก์ ปัญหา เมื่อพิจารณาจากด้านข้างแล้ว ภารกิจคือการหาพื้นที่ผิวทั้งหมดและปริมาตรข

  18. โปรแกรมสำหรับปริมาตรและพื้นที่ผิวของทรงลูกบาศก์ในภาษา C++

    ลูกบาศก์คืออะไร ทรงลูกบาศก์เป็นวัตถุสามมิติที่มีหน้าหกเหลี่ยมหกหน้า ซึ่งหมายความว่ามีด้านยาวและด้านกว้างต่างกัน ความแตกต่างระหว่างลูกบาศก์กับทรงลูกบาศก์คือลูกบาศก์มีความยาว ความสูง และความกว้างเท่ากัน ในขณะที่ลูกบาศก์ทั้งสามนั้นไม่เหมือนกัน คุณสมบัติของทรงลูกบาศก์คือ − หกหน้า 12 ขอบ 8 จุดยอด ด้

  19. โปรแกรมคำนวณพื้นที่และปริมณฑลของสามเหลี่ยมด้านเท่าในภาษา C++

    สามเหลี่ยมด้านเท่าคืออะไร ตามชื่อของมัน สามเหลี่ยมด้านเท่าคือรูปที่มีด้านเท่ากันและมีมุมภายในเท่ากันที่ 60 องศา เรียกอีกอย่างว่าสามเหลี่ยมปกติเพราะเป็นรูปหลายเหลี่ยมปกติ คุณสมบัติของสามเหลี่ยมด้านเท่าคือ − ความยาวเท่ากันทั้ง 3 ด้าน มุมภายในองศาเดียวกันคือ 60 ด้านล่างเป็นรูปสามเหลี่ยมด้านเท่า

  20. โปรแกรมคำนวณพื้นที่วงกลมของสามเหลี่ยมด้านเท่าในภาษา C++

    ตามชื่อของมัน สามเหลี่ยมด้านเท่าคือรูปที่มีด้านเท่ากันและมีมุมภายในเท่ากันที่ 60 องศา เรียกอีกอย่างว่าสามเหลี่ยมปกติเพราะเป็นรูปหลายเหลี่ยมปกติ คุณสมบัติของสามเหลี่ยมด้านเท่าคือ ความยาวเท่ากันทั้ง 3 ด้าน มุมภายในองศาเดียวกันคือ 60 วงกลมของรูปหลายเหลี่ยมคือวงกลมที่ผ่านจุดยอดทั้งหมดของรูปหลายเหลี่

Total 6007 -คอมพิวเตอร์  FirstPage PreviousPage NextPage LastPage CurrentPage:71/301  20-คอมพิวเตอร์/Page Goto:1 65 66 67 68 69 70 71 72 73 74 75 76 77