ในที่นี้เราจะมาดูวิธีการหาพื้นที่ของรูปใบไม้ด้านล่าง ซึ่งมีอยู่ในสี่เหลี่ยม ABCD สี่เหลี่ยมจัตุรัสแต่ละด้านยาว 'a'

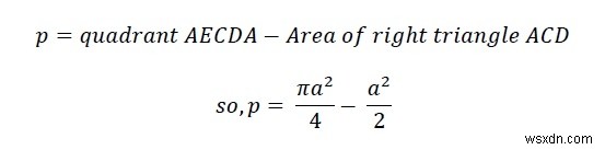
ใบไม้มีสองส่วนเท่า ๆ กัน พื้นที่ของแต่ละส่วนคือ p ตอนนี้ −

และพื้นที่เต็มใบคือ 2p.
ตัวอย่าง
#include <iostream>
using namespace std;
float leafArea(float a){
return (a * a * (3.1415/2 - 1));
}
int main() {
float square_side = 7.0f;
cout << "Leaf Area: " << leafArea(square_side);
} ผลลัพธ์
Leaf Area: 27.9667