ที่นี่เราจะเห็นพื้นที่ของสามเหลี่ยม Reuleax ที่ใหญ่ที่สุดที่จารึกไว้ภายในสี่เหลี่ยมจัตุรัสซึ่งถูกจารึกไว้ในรูปสามเหลี่ยมด้านเท่า สมมติว่า 'a' เป็นด้านของสามเหลี่ยม ด้านข้างของสี่เหลี่ยมจัตุรัสคือ x และความสูงของสามเหลี่ยม Reuleaux คือ h

ด้านของสามเหลี่ยมคือ −

ค่าของ x คือ −
𝑥 = 0.464𝑎
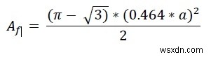
ความสูงของสามเหลี่ยม Reuleaux เท่ากับ x ดังนั้น x =h ดังนั้น พื้นที่ของรูปสามเหลี่ยมรูลอซ์คือ −

ตัวอย่าง
#include <iostream>
#include <cmath>
using namespace std;
float areaReuleaux(float a) { //side of triangle is a
if (a < 0) //if a is negative it is invalid
return -1;
float area = ((3.1415 - sqrt(3)) * (0.464*a) * (0.464*a))/2;
return area;
}
int main() {
float side = 5;
cout << "Area of Reuleaux Triangle: " << areaReuleaux(side);
} ผลลัพธ์
Area of Reuleaux Triangle: 3.79311