ที่นี่เราจะเห็นพื้นที่ของสามเหลี่ยม Reuleax ที่ใหญ่ที่สุดที่จารึกไว้ภายในสี่เหลี่ยมจัตุรัสซึ่งถูกจารึกไว้ในครึ่งวงกลม สมมติว่ารัศมีของครึ่งวงกลมคือ R โดยด้านข้างของสี่เหลี่ยมจัตุรัสคือ 'a' และความสูงของสามเหลี่ยม Reuleax คือ h

เรารู้ว่าด้านของสี่เหลี่ยมที่จารึกไว้ในครึ่งวงกลมคือ −

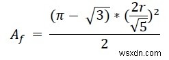
ความสูงของสามเหลี่ยม Reuleaux เท่ากับ a ดังนั้น a =h ดังนั้น พื้นที่ของรูปสามเหลี่ยมรูลอซ์คือ −

ตัวอย่าง
#include <iostream>
#include <cmath>
using namespace std;
float areaReuleaux(float r) { //radius of the semicircle is r
if (r < 0) //if r is negative it is invalid
return -1;
float area = ((3.1415 - sqrt(3)) * (2*r/(sqrt(5))) * (2*r/(sqrt(5))))/2;
return area;
}
int main() {
float rad = 8;
cout << "Area of Reuleaux Triangle: " << areaReuleaux(rad);
} ผลลัพธ์
Area of Reuleaux Triangle: 36.0819