หากคุณกำลังมองหาวิธีรับค่าที่ไม่ซ้ำกันใน Excel ถ้าอย่างนั้นคุณก็มาถูกที่แล้ว ความซ้ำซ้อนของค่าใน Excel สามารถเกิดขึ้นได้ในคอลัมน์เดียวหรือหลายคอลัมน์และหลายแถวใน Excel บ่อยครั้งจำเป็นต้องขจัดความซ้ำซ้อน เพื่อการวิเคราะห์ข้อมูลที่ถูกต้องและวัตถุประสงค์ในการรวมข้อมูล ในบางครั้ง เราอาจต้องการจดบันทึกค่าที่เกิดซ้ำ แทนที่จะลบออก มีหลักสองสามวิธีในการกำจัดค่าที่ซ้ำกันใน Excel หรือเพื่อตรวจหาค่าที่ไม่ซ้ำ ดังนั้น เราจะตรวจสอบบางส่วนในบทความนี้เกี่ยวกับวิธีรับค่าที่ไม่ซ้ำกันใน Excel
5 วิธีง่ายๆ ในการรับค่าที่ไม่ซ้ำใน Excel
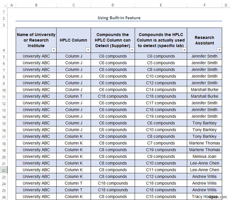
โครมาโตกราฟีของเหลวประสิทธิภาพสูง (HPLC) เป็นเทคนิคเคมีวิเคราะห์ที่เป็นที่รู้จักและใช้กันอย่างแพร่หลาย ช่วยให้สามารถแยก ระบุ และหาปริมาณของสารประกอบในส่วนผสมได้ ในบทช่วยสอนนี้ เราจะทำงานในสเปรดชีตซึ่งผู้ช่วยวิจัยต่างๆ จะดำเนินการ คอลัมน์ HPLC ที่แตกต่างกัน ที่สามารถตรวจจับสารประกอบต่างๆ เราจะวิเคราะห์ความซ้ำซ้อนและความเป็นเอกลักษณ์ของคอลัมน์ในกระบวนการต่างๆ
ข้อมูลต้นทาง ดังแสดงด้านล่าง มีข้อมูล 200 แถว 5 คอลัมน์ เรากำลังแสดงบางแถวเนื่องจากพื้นที่ไม่เพียงพอ

ตอนนี้เราจะแสดงให้คุณเห็นถึงห้าวิธีที่หลากหลายเพื่อให้ได้คุณค่าที่ไม่เหมือนใครด้วยขั้นตอนง่ายๆ
1. การใช้ตัวกรองขั้นสูง
คุณสามารถใช้ตัวกรองขั้นสูง เพื่อรับค่าที่ไม่ซ้ำกันได้อย่างง่ายดาย คุณต้องทำตามขั้นตอนด้านล่าง ตัวกรองขั้นสูง ช่วยให้คุณดึงข้อมูลตามเกณฑ์ที่ระบุ โปรดทำตามขั้นตอนด้านล่าง
ขั้นตอน:
- ขั้นแรก เปิดสเปรดชีตเปล่าชื่อ การใช้ตัวกรองขั้นสูง .
- ประการที่สอง ไปที่ ข้อมูล > จัดเรียงและกรอง> ขั้นสูง .

- ในที่สุด ตัวกรองขั้นสูง หน้าต่างจะปรากฏขึ้น
- ประการที่สาม เลือก คัดลอกไปยังตำแหน่งอื่น
ประการที่สี่ สำหรับ คัดลอกไปที่ ตัวเลือก เลือก $B$4 ในการใช้ ตัวกรองขั้นสูง แผ่นงานและทำเครื่องหมายเฉพาะระเบียนที่แสดงด้านล่างเท่านั้น - ประการที่ห้า เลือกช่วงรายการ จากนั้นไปที่ ชุดข้อมูล แผ่นงานและเลือกคอลัมน์ $B$4:$B$204 ซึ่งเป็น ชื่อมหาวิทยาลัยหรือสถาบันวิจัย . ของเรา ดังที่แสดงด้านล่าง
- ประการที่หก คลิก ตกลง .

- ชื่อมหาวิทยาลัยและสถาบันวิจัยที่ไม่ซ้ำกันจะถูกดึงมาจาก การใช้ตัวกรองขั้นสูง

- ในทำนองเดียวกัน คุณทำตามขั้นตอนเดียวกันสำหรับคอลัมน์อื่นๆ ในชุดข้อมูลดั้งเดิม
- แก้ไข ตัวกรองขั้นสูง หน้าต่างดังรูปด้านล่างเพื่อค้นหาค่าเฉพาะของ คอลัมน์ HPLC .

ในที่สุดผลลัพธ์จะเป็นแบบนี้

2. การลบรายการที่ซ้ำกันเพื่อค้นหาค่าที่ไม่ซ้ำใน Excel
คุณยังสามารถลบค่าที่ซ้ำกันได้โดยใช้ Remove Duplicates คุณลักษณะจาก ข้อมูล แท็บ โปรดจำไว้ว่า ฟีเจอร์นี้จะลบข้อมูลของคุณให้ดี
ขั้นตอน:
- ขั้นแรก ให้คัดลอก ชุดข้อมูลต้นฉบับ แผ่นงาน เนื่องจากเป็นการดีที่สุดเสมอที่จะเก็บข้อมูลต้นฉบับไว้ดังที่กล่าวไว้ และเรียกสำเนานี้ว่า การลบรายการที่ซ้ำกันเพื่อรับค่าที่ไม่ซ้ำ .
- ประการที่สอง เลือกช่วงและไปที่ ข้อมูล > เครื่องมือข้อมูล > ลบรายการที่ซ้ำกัน .

- ในที่สุด ลบรายการที่ซ้ำกัน หน้าต่างจะปรากฏขึ้น
- สิ่งสำคัญ ตรวจสอบให้แน่ใจว่า ข้อมูลของฉันมีส่วนหัว ทำเครื่องหมายที่ช่องทำเครื่องหมาย จากนั้นเลือกคอลัมน์ที่คุณต้องการให้นำรายการที่ซ้ำกันออกหรือปล่อยให้เลือกคอลัมน์ทั้งหมด
- นอกจากนี้ หากคุณเลือกที่จะลบความซ้ำซ้อนสำหรับคอลัมน์ใดคอลัมน์หนึ่งในชุดข้อมูล คุณจะได้ผลลัพธ์เช่นเดียวกับ ตัวกรองขั้นสูง , ตัวอย่างสารสกัดเฉพาะด้านบน.
- ตัวอย่างเช่น เลือกชื่อมหาวิทยาลัยหรือสถาบันวิจัย ดังที่แสดงด้านล่าง

- ในที่สุด ส่งผลให้กล่องโต้ตอบปรากฏขึ้น โดยแสดงตามชื่อมหาวิทยาลัยหรือสถาบันวิจัย คอลัมน์ ลบค่าที่ซ้ำกัน 171 ค่าแล้ว และค่าที่ไม่ซ้ำ 6 ค่ายังคงอยู่ .

- นี่เป็นการยืนยัน ตัวกรองขั้นสูง ผลลัพธ์และเน้นจำนวนค่าที่ซ้ำกันเพิ่มเติมภายในคอลัมน์เฉพาะนี้
- การลบรายการที่ซ้ำกันและตรวจสอบให้แน่ใจว่าได้ตรวจสอบคอลัมน์ทั้งหมดดังที่แสดงด้านล่าง

- ผลที่ตามมาคือ Excel ส่งคืนคำตอบที่ระบุว่ามี ค่าที่ซ้ำกัน 3 ค่าและค่าที่ไม่ซ้ำ 197 ค่า . ซึ่งหมายความว่ามีสามแถวในชุดข้อมูลที่มีค่า ชื่อมหาวิทยาลัยหรือสถาบันวิจัย คอลัมน์ คอลัมน์ HPLC คอลัมน์ รวมคอลัมน์ HPLC ที่สามารถตรวจพบคอลัมน์ (ซัพพลายเออร์) รวมคอลัมน์ HPLC ที่ใช้จริงเพื่อตรวจหา (แล็บเฉพาะ) คอลัมน์และ ผู้ช่วยวิจัย คอลัมน์ทั้งหมดเท่ากัน
- นอกจากนี้ เราต้องการดูข้อมูลในบริบทและค้นหานอกผู้ช่วยวิจัย คอลัมน์ จำนวนที่ซ้ำกัน

- ในที่สุด เราได้รับ พบและนำค่าที่ซ้ำกัน 22 ค่าออก ค่าที่ไม่ซ้ำกัน 178 ค่ายังคงอยู่ ในชุดข้อมูลที่แสดงด้านล่าง

- สุดท้าย คลิก ตกลง และรับค่าที่ไม่ซ้ำกัน
3. การใช้สูตร Excel
คุณยังสามารถใช้สูตรต่างๆ เพื่อค้นหาค่าที่ไม่ซ้ำได้อีกด้วย แน่นอน และ ไม่ซ้ำใคร ฟังก์ชันมีประโยชน์มากในการค้นหาค่าที่ไม่ซ้ำกัน
3.1. การใช้ฟังก์ชัน EXACT กับการจัดรูปแบบตามเงื่อนไข
จากนั้นเราก็สามารถใช้ฟังก์ชัน EXACT ร่วมกับ การจัดรูปแบบตามเงื่อนไข เพื่อแสดงให้เราเห็นว่าค่าเหล่านี้เกิดขึ้นที่ใดในคอลัมน์
ขั้นตอน:
- ประการแรก เน้นที่ สารประกอบที่คอลัมน์ HPLC ใช้เพื่อตรวจหา (แล็บเฉพาะ) คอลัมน์ดังที่แสดงด้านล่าง
- ประการที่สอง เราเลือก หน้าแรก . ต่อไปนี้> สไตล์> การจัดรูปแบบตามเงื่อนไข . เลือก กฎใหม่ จากตัวเลือกแบบเลื่อนลงที่ให้มา

- ประการที่สาม ใน จัดรูปแบบค่าที่สูตรนี้เป็นจริง: กล่องข้อความ ป้อนสูตรต่อไปนี้:
=EXACT("C8 compounds",$E5)

ที่สำคัญ คุณต้องจัดรูปแบบก่อนคลิก ตกลง .
- ประการที่สี่ เลือก
- เลือก สีน้ำเงินเข้ม เติมด้วย ตัวหนา white สีขาว จากตัวเลือกที่ให้ไว้ดังที่แสดงด้านล่าง

- ประการที่ห้า คลิก ตกลง เมื่อเสร็จแล้ว เพื่อที่จะดูตัวอย่างว่าการจัดรูปแบบจะเป็นอย่างไร

สุดท้าย คลิกตกลง เพื่อให้ได้ผลลัพธ์แบบนี้

3.2. การใช้ฟังก์ชัน UNIQUE
คุณสามารถใช้ ฟังก์ชัน UNIQUE เพื่อรับค่าที่ไม่ซ้ำกัน ฟังก์ชัน UNIQUE ส่วนใหญ่จะค้นหาค่าเฉพาะที่ได้รับในคำสั่งให้กับไวยากรณ์ภายในกลุ่มของชุดข้อมูล
เราคิดว่าจำเป็นต้องค้นหาคุณค่าเฉพาะของ ผู้ช่วยวิจัย ส่วนหัวของคอลัมน์
- ประการแรก เขียนสูตรต่อไปนี้ใน H5
=UNIQUE(F5:F204) ที่นี่ F5:F204 คือช่วงของเซลล์ของ ผู้ช่วยวิจัย คอลัมน์

- ประการที่สอง กด ENTER เพื่อรับ ผู้ช่วยวิจัย . ที่ผ่านการกรอง .

4. การใช้คุณสมบัติในตัว
คุณยังสามารถใช้ฟีเจอร์ในตัวของ ตารางของ Excel ได้ เพื่อที่จะตรวจจับและลบความซ้ำซ้อน ขั้นตอน:
- ขั้นแรก ทำสำเนาแผ่นงานที่มีข้อมูลต้นฉบับ
- ประการที่สอง เมื่อเลือกเซลล์ในชุดข้อมูลแล้ว ให้กด CTRL + T บนแป้นพิมพ์หรือไปที่ แทรก > ตาราง > ตาราง .

- ประการที่สาม การใช้ตัวเลือกการกรองในตารางยังช่วยให้สามารถแยกค่าบางค่าได้ คลิกที่ลูกศรแบบเลื่อนลงถัดจากชื่อมหาวิทยาลัยหรือสถาบันวิจัย คอลัมน์ช่วยให้สามารถเลือกมหาวิทยาลัยบางแห่งได้ ติ๊กเพียง มหาวิทยาลัย ABC แยกบันทึกทั้งหมดสำหรับ University ABC ในชุดข้อมูลที่แสดงด้านล่าง

- ในที่สุด คุณจะได้ผลลัพธ์แบบนี้ด้วยชื่อมหาวิทยาลัยที่ไม่เหมือนใคร

- นอกจากนี้ ยังสามารถกรองตารางโดยใช้มากกว่าหนึ่งคอลัมน์ ตัวอย่างเช่น สมมติว่าต้องการดูเฉพาะระเบียนในตารางจาก University ABC ซึ่งผู้ช่วยวิจัย เจนนิเฟอร์ สมิธ ได้รวบรวมไว้ ก่อนอื่นต้องติ๊ก University ABC ดังตัวอย่างด้านบน แล้วคลิกลูกศรแบบเลื่อนลงถัดจาก ผู้ช่วยวิจัย และเลือก เจนนิเฟอร์ สมิธ ตามที่แสดง

- ดังนั้น คุณจะได้พบกับ ผู้ช่วยวิจัย . ที่ไม่เหมือนใคร .

5. การใช้ตัวแบ่งส่วนข้อมูลกับตาราง
ตัวแบ่งส่วนข้อมูลเป็นวิธีที่รวดเร็วในการกรองตารางด้วยสายตา คุณสามารถทำตามขั้นตอนด้านล่างเพื่อรับค่าที่ไม่ซ้ำกันโดยใช้ ตัวแบ่งส่วนข้อมูล .
ขั้นตอน:
- ในการแทรกตัวแบ่งส่วนข้อมูล ขั้นแรก ให้เลือกเซลล์ในตาราง และไปที่ การออกแบบ แท็บใน เครื่องมือตาราง เมนูตามบริบท> เครื่องมือ > แทรกตัวแบ่งส่วนข้อมูล .

- ประการที่สอง ในกล่องโต้ตอบ แทรกตัวแบ่งส่วนข้อมูล ให้ทำเครื่องหมายที่ รวมคอลัมน์ HPLC ที่สามารถตรวจหา (ซัพพลายเออร์) คอลัมน์ และ สารประกอบที่คอลัมน์ HPLC ใช้เพื่อตรวจหา (แล็บเฉพาะ) คอลัมน์ที่แสดงด้านล่าง

- ในที่สุด คุณได้แทรกตัวแบ่งส่วนข้อมูลด้านล่าง

- ประการที่สาม การเลือก สารประกอบ C8 จาก สารประกอบที่คอลัมน์ HPLC สามารถตรวจจับได้ (ซัพพลายเออร์) ตัวแบ่งส่วนข้อมูล กรองตารางทันทีเพื่อแสดงเฉพาะแถวที่คุณระบุสารประกอบ C8 ในคอลัมน์นี้ของภาพด้านล่าง
- ประการที่สี่ เลือก สารประกอบ C8 อีกครั้งใน สารประกอบ HPLC คอลัมน์ถูกใช้จริงเพื่อตรวจหา (แล็บเฉพาะ) ตัวแบ่งส่วนข้อมูลที่แสดงภาพ เราต้องการตรวจสอบว่าค่าที่ทำซ้ำที่ใดเพื่อดูว่าห้องปฏิบัติการใดปฏิบัติตามข้อกำหนดที่กำหนดโดยซัพพลายเออร์จริง ๆ

ค้นหาค่าที่ไม่ซ้ำกับหลายคอลัมน์ใน Excel
คุณสามารถค้นหาค่าที่ไม่ซ้ำใน Excel ได้อย่างง่ายดายหากคุณใช้ฟังก์ชัน UNIQUE . ฟังก์ชัน UNIQUE สามารถหาค่าเฉพาะของหลายคอลัมน์ได้
- สมมติว่าคุณจำเป็นต้องค้นหาค่าที่ไม่ซ้ำจากคอลัมน์ B และค . Firstly, write the following formula in the E5 cell like this.
=UNIQUE(B5:C204,FALSE,TRUE) Here, B5:C204 refers to the range of cells Name of Universities or Research Institute and HPLC Columns .

- Secondly, press ENTER .
Eventually, you’ll find the output like this.

How to Count Unique Values in Excel
You can count the unique values from columns or rows if you use the COUNTIF function . ฟังก์ชัน COUNTIF doesn’t show unique values rather it counts the number of them and shows the counted number.
- Suppose you need to know the number of unique values of Column C . Firstly, write the formula in the G5 cell like this.
=COUNTIF(C5:C204)

- Similarly, after pressing ENTER you’ll get the output as 14 .

บทสรุป
Excel provides a wide array of tools to detect recurring values and/or remove duplicate values. It is sometimes necessary when cleaning datasets in Excel for future database integration (which requires removal of redundancy and duplication) to use more than one tool. We don’t always want to remove recurring values instead we just want to count them or note them, in scenarios that we create in Excel as well. Hope this article will help you to find unique values in excel. Please feel free to comment on the attachment and tell us your tips for removing duplicate values/detecting recurring values and if you use HPLC analysis in your lab.
Some useful links
- Using Excel to remove duplicate rows based on two columns [4 ways]
- How to Find Duplicate Values in Excel using VLOOKUP