ที่นี่ เราจะเห็นพื้นที่ของสามเหลี่ยม Reuleaux ที่ใหญ่ที่สุดที่จารึกไว้ภายในสี่เหลี่ยมจัตุรัส สี่เหลี่ยมนั้นถูกจารึกไว้ภายในสามเหลี่ยมมุมฉากหนึ่ง ด้านข้างของสี่เหลี่ยมคือ 'a' ความสูงของสามเหลี่ยม Reuleaux คือ x ฐานของสามเหลี่ยมคือ b ความสูงของสามเหลี่ยมคือ l และด้านตรงข้ามมุมฉากคือ h

เรารู้ว่าด้านของสี่เหลี่ยมที่จารึกไว้ในรูปสามเหลี่ยมมุมฉากที่มีความสูง l และฐาน b คือ −

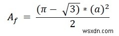
ความสูงของสามเหลี่ยม Reuleaux เท่ากับ a ดังนั้น a =x ดังนั้น พื้นที่ของสามเหลี่ยมรูลอซ์คือ −

ตัวอย่าง
#include <iostream>
#include <cmath>
using namespace std;
float areaReuleaux(float l, float b) { //l and b are height and base of right angled triangle
if (l < 0 || b < 0) //either l or b is negative it is invalid
return -1;
float a = (l*b)/(l+b);
float area = ((3.1415 - sqrt(3)) * (a) * (a))/2;
return area;
}
int main() {
float l = 5;
float b = 12;
cout << "Area of Reuleaux Triangle: " << areaReuleaux(l, b);
} ผลลัพธ์
Area of Reuleaux Triangle: 8.77858